Online Database of Chemicals from Around the World

化学品安全技术说明书

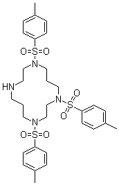
1,4,8-对甲苯磺酰基-1,4,8,11-四氮杂环十四烷
[ CAS# 104395-69-9 ]

产品概述

structure of CAS# 104395-69-9, 1,4,8-对甲苯磺酰基-1,4,8,11-四氮杂环十四烷
产品名称 1,4,8-对甲苯磺酰基-1,4,8,11-四氮杂环十四烷
CAS 登录号 104395-69-9
分子式 C31H42N4O6S3
分子量 662.89
1,4,8-对甲苯磺酰基-1,4,8,11-四氮杂环十四烷的详细资料
1,4,8-对甲苯磺酰基-1,4,8,11-四氮杂环十四烷的供应商
 
资料来源 SDS 样本
Ambeed
file.ambeed.com/static/upload/prosds/am/716/SDS-A715269.pdf
浏览或下载

免责声明

本页所列之化学品安全技术说明书样本系 chemBlink 公司搜集的互联网公开信息,仅用于指导化学品安全技术说明书的编辑与制作。chemBlink 竭诚提供可靠信息,然而不承诺其完备与准确。 阅读全文...




相关化学品安全技术说明书
反式聚异戊二烯   N-甲基氨基磺酰氯   [1,2,4]三唑并[1,5-a]吡啶-6-羧酸   2-[2-(4-甲基苯氧基)乙氧基]乙醇   9,10-蒽醌-d8   1-(5-甲基-2-吡啶基)哌嗪   N,2-二甲基-4-硝基-苯胺   4-壬基苯酚   6-肼基烟腈   2-肼基-6-甲基吡啶盐酸盐