Online Database of Chemicals from Around the World

化学品安全技术说明书

S-[2,3-二[(1-氧代十六烷基)氧基]丙基]-N-(1-氧代十六烷基)-L-半胱氨酰基-L-丝氨酰基-L-赖氨酰基-L-赖氨酰基-L-赖氨酰基-L-赖氨酸
[ CAS# 112208-00-1 ]

产品概述

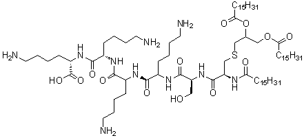
structure of CAS# 112208-00-1, S-[2,3-二[(1-氧代十六烷基)氧基]丙基]-N-(1-氧代十六烷基)-L-半胱氨酰基-L-丝氨酰基-L-赖氨酰基-L-赖氨酰基-L-赖氨酰基-L-赖氨酸
产品名称 S-[2,3-二[(1-氧代十六烷基)氧基]丙基]-N-(1-氧代十六烷基)-L-半胱氨酰基-L-丝氨酰基-L-赖氨酰基-L-赖氨酰基-L-赖氨酰基-L-赖氨酸
CAS 登录号 112208-00-1
分子式 C81H156N10O13S
分子量 1510.23
S-[2,3-二[(1-氧代十六烷基)氧基]丙基]-N-(1-氧代十六烷基)-L-半胱氨酰基-L-丝氨酰基-L-赖氨酰基-L-赖氨酰基-L-赖氨酰基-L-赖氨酸的详细资料
S-[2,3-二[(1-氧代十六烷基)氧基]丙基]-N-(1-氧代十六烷基)-L-半胱氨酰基-L-丝氨酰基-L-赖氨酰基-L-赖氨酰基-L-赖氨酰基-L-赖氨酸的供应商
 
资料来源 SDS 样本
Cayman
www.caymanchem.com/msdss/24126m.pdf
浏览或下载

免责声明

本页所列之化学品安全技术说明书样本系 chemBlink 公司搜集的互联网公开信息,仅用于指导化学品安全技术说明书的编辑与制作。chemBlink 竭诚提供可靠信息,然而不承诺其完备与准确。 阅读全文...




相关化学品安全技术说明书
3-碘-2-甲氧基吡啶   3-羟甲基-2-甲氧基吡啶   (5-甲基-1,3-二恶烷-5-基)甲醇   5-溴-2-氟苯硼酸   5-溴-2-氟苯酚   正壬胺   6-氯-4-甲基-2-吡啶羧酸乙酯   2,5-二氯-4-甲氧基吡啶   3,4-二溴-1H-吡咯-2,5-二酮   (S)-2-异丙氨基-3-甲基-1-丁醇