Online Database of Chemicals from Around the World

SDS Samples

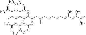
Fumonisin B2
[ CAS# 116355-84-1 ]

Product Info

structure of CAS# 116355-84-1, Fumonisin B2
Product Name Fumonisin B2
CAS Registry Number 116355-84-1
Molecular Formula C34H59NO14
Molecular Weight 705.83
More information of Fumonisin B2
Suppliers of Fumonisin B2
 
Source SDS Document
Acros-Organics
www.acros.com/DesktopModules/Acros_Search_Results/Acros_Search_Results.aspx?search_type=CAS&SearchString=116355-84-1
View / download
Apollo
www.apolloscientific.co.uk/downloads/msds/BIF1005_msds.pdf
View / download
Cayman
www.caymanchem.com/msdss/13227m.pdf
View / download

Disclaimer

The SDS samples above are collected from the Internet by chemBlink and displayed here for the tutorial purpose only. chemBlink LLC provides the information contained herein in good faith but makes no representation as to its comprehensiveness or accuracy. Read full context...


More SDS files for chemicals
Methyl 6-hydroxy-1H-indole-2-carboxylate   Imidazo[1,2-a]pyridine-6-carbaldehyde   6-Bromo-7-methylimidazo[1,2-a]pyridine   2-Methyl-2-propenoic acid 2,2-difluoroethyl ester   Fumonisin B1   3-(Acetyloxy)-N-Phenyl-2-Naphthalenecarboxamide   2-Fluoro-3-(trifluoromethoxy)aniline   4-Bromo-5-chloro-2-fluorobenzenamine   4-Bromo-3-(trifluoromethoxy)aniline   Bis(3-bromophenyl)phenylphosphine oxide