Online Database of Chemicals from Around the World

SDS Samples

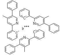
Tris[2-(4-methyl-5-phenyl-2-pyridinyl)phenyl]-iridium
[ CAS# 1215692-43-5 ]

Product Info

structure of CAS# 1215692-43-5, Tris[2-(4-methyl-5-phenyl-2-pyridinyl)phenyl]-iridium
Product Name Tris[2-(4-methyl-5-phenyl-2-pyridinyl)phenyl]-iridium
CAS Registry Number 1215692-43-5
Molecular Formula C54H42IrN3
Molecular Weight 925.15
More information of Tris[2-(4-methyl-5-phenyl-2-pyridinyl)phenyl]-iridium
Suppliers of Tris[2-(4-methyl-5-phenyl-2-pyridinyl)phenyl]-iridium
 
Source SDS Document
Ambeed
file.ambeed.com/static/upload/prosds/am/328/SDS-A327799.pdf
View / download

Disclaimer

The SDS samples above are collected from the Internet by chemBlink and displayed here for the tutorial purpose only. chemBlink LLC provides the information contained herein in good faith but makes no representation as to its comprehensiveness or accuracy. Read full context...


More SDS files for chemicals
4-Amino-1H-Indole-6-carboxylic Acid Methyl Ester   Ethyl 3-Bromo-1,2,4-Oxadiazole-5-Carboxylate   3-Bromo-5-(Bromomethyl)-1,2,4-Oxadiazole   exo-1-Azabicyclo[2.2.1]heptane-3-carboxylic acid methyl ester   N-Nitroso-N-(methyl-d3)-3-aminopropionic Acid   Tris[2-(6-methyl-5-phenyl-2-pyridinyl)phenyl]-iridium   Acetic Aceclofenac   2-[(3-Chlorophenyl)methoxy]-6-(1-piperazinyl)pyrazine hydrochloride (1:1)   Sulfanilic acid   Ketorolac-d5