Online Database of Chemicals from Around the World

SDS Samples

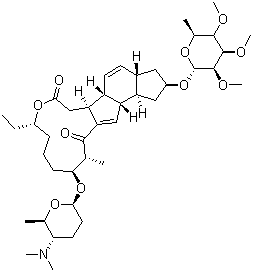
Spinosad
[ CAS# 131929-60-7 ]

Product Info

structure of CAS# 131929-60-7, Spinosad
Product Name Spinosad
CAS Registry Number 131929-60-7
Molecular Formula C41H65NO10
Molecular Weight 731.96
More information of Spinosad
Suppliers of Spinosad
 
Source SDS Document
Cayman
www.caymanchem.com/msdss/16528m.pdf
View / download

Disclaimer

The SDS samples above are collected from the Internet by chemBlink and displayed here for the tutorial purpose only. chemBlink LLC provides the information contained herein in good faith but makes no representation as to its comprehensiveness or accuracy. Read full context...


More SDS files for chemicals
2-Oxobutanedioic acid 4-methyl ester   4,5-Dideoxy-5-(3',5'-dichloro[1,1'-biphenyl]-4-yl)-4-[(2-methoxyacetyl)amino]-L-arabinonic acid   2-(Trifluoromethyl)Piperazine   1-(2-Benzofuranyl)-2,2-Dihydroxy-Ethanone   Lansoprazole sulfone   Spinosyn D   2-(1-Methylethyl)-5-nitropyridine   2-(4-Methoxyphenyl)-5-Nitro-Pyridine   Mocap   3-Chloro-4-nitropyridine