Online Database of Chemicals from Around the World

SDS Samples

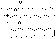
Propylene glycol monostearate
[ CAS# 1323-39-3 ]

Product Info

structure of CAS# 1323-39-3, Propylene glycol monostearate
Product Name Propylene glycol monostearate
CAS Registry Number 1323-39-3
Molecular Formula C21H42O3
Molecular Weight 342.56
More information of Propylene glycol monostearate
Suppliers of Propylene glycol monostearate
 
Source SDS Document
Sigma-Aldrich
www.sigmaaldrich.com/catalog/Lookup.do?N5=All&N3=mode+matchpartialmax&N1=S_ID&ST=RS&N25=0&F=PR&D7=0&N4=1323-39-3
View / download
TCI
www.spectrumchemical.com/MSDS/TCI-P0614.pdf
View / download

Disclaimer

The SDS samples above are collected from the Internet by chemBlink and displayed here for the tutorial purpose only. chemBlink LLC provides the information contained herein in good faith but makes no representation as to its comprehensiveness or accuracy. Read full context...


More SDS files for chemicals
(S)-(-)-N,N-Dimethyl-3-hydroxy-3-(2-thienyl)propanamine   (S)-(+)-N,N-Dimethyl-3-(1-naphthalenyloxy)-3-(2-thienyl)propanamine   S-(+)-N,N-Dimethyl-3-(1-naphthoxy)-3-(2-thienyl)-1-propylamine oxalate   P-[[(1S)-2-[4-(Benzoylamino)-2-oxo-1(2H)-pyrimidinyl]-1-(hydroxymethyl)ethoxy]methyl]phosphonic acid diethyl ester   (1S)-2,5-Diazabicyclo[2.2.1]heptane   (S)-3-(4-((4-(Morpholinomethyl)benzyl)oxy)-1-oxoisoindolin-2-yl)piperidine-2,6-dione   2-Biphenylcarboxamide   4-Bromo-2-Methylquinolin-3-Ol   Ethylenediaminetetraacetic acid tetrasodium salt   1-Hexadecyl-3-methylimidazolium bromide