Online Database of Chemicals from Around the World

SDS Samples

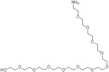
35-Amino-3,6,9,12,15,18,21,24,27,30,33-undecaoxapentatriacontan-1-ol
[ CAS# 1345681-71-1 ]

Product Info

structure of CAS# 1345681-71-1, 35-Amino-3,6,9,12,15,18,21,24,27,30,33-undecaoxapentatriacontan-1-ol
Product Name 35-Amino-3,6,9,12,15,18,21,24,27,30,33-undecaoxapentatriacontan-1-ol
CAS Registry Number 1345681-71-1
Molecular Formula C24H51NO12
Molecular Weight 545.66
More information of 35-Amino-3,6,9,12,15,18,21,24,27,30,33-undecaoxapentatriacontan-1-ol
Suppliers of 35-Amino-3,6,9,12,15,18,21,24,27,30,33-undecaoxapentatriacontan-1-ol
 
Source SDS Document
Ambeed
file.ambeed.com/static/upload/prosds/am/660/SDS-A659821.pdf
View / download

Disclaimer

The SDS samples above are collected from the Internet by chemBlink and displayed here for the tutorial purpose only. chemBlink LLC provides the information contained herein in good faith but makes no representation as to its comprehensiveness or accuracy. Read full context...


More SDS files for chemicals
(R)-Benzyl 2-(pyrrolidine-1-carbonyl)pyrrolidine-1-carboxylate   Ethambutol 2HCl   alpha,alpha-Dimethyl-4-[2-oxo-9-(3-quinolinyl)-2H-[1,3]oxazino[5,4-c]quinolin-1(4H)-yl]-benzeneacetonitrile   N,N,N',N'-Tetrabenzyl-1,4-Benzenediamine   Methyl 3-Oxo-3-(2-Thienyl)Propanoate   tert-butyl (3S)-3-fluoro-3-(hydroxymethyl)piperidine-1-carboxylate   Pyrazophos   Methyl 3-bromo-6-chloropyrazine-2-carboxylate   3-(Phenylmethyl)-3-Azabicyclo[3.1.0]Hexane-1-Methanamine   (3-Azabicyclo[3.1.0]Hex-1-Ylmethyl)-Carbamic Acid 1,1-Dimethylethyl Ester