Online Database of Chemicals from Around the World

SDS Samples

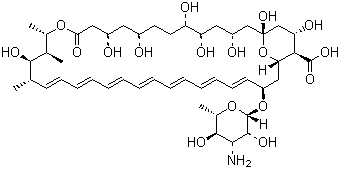
Amphotericin B
[ CAS# 1397-89-3 ]

Product Info

structure of CAS# 1397-89-3, Amphotericin B
Product Name Amphotericin B
CAS Registry Number 1397-89-3
Molecular Formula C47H73NO17
Molecular Weight 924.08
More information of Amphotericin B
Suppliers of Amphotericin B
 
Source SDS Document
Alfa-Aesar
www.alfa.com/en/content/msds/USA/J61491.pdf
View / download
Sigma-Aldrich
www.sigmaaldrich.com/catalog/Lookup.do?N5=All&N3=mode+matchpartialmax&N1=S_ID&ST=RS&N25=0&F=PR&D7=0&N4=1397-89-3
View / download
Acros-Organics
www.acros.com/DesktopModules/Acros_Search_Results/Acros_Search_Results.aspx?search_type=CAS&SearchString=1397-89-3
View / download

Disclaimer

The SDS samples above are collected from the Internet by chemBlink and displayed here for the tutorial purpose only. chemBlink LLC provides the information contained herein in good faith but makes no representation as to its comprehensiveness or accuracy. Read full context...


More SDS files for chemicals
(3beta)-26,27-Dinorcholest-5-en-24-yne-3,20-diol   N-(3-Methoxyphenyl)urea   2-Iodo-5-methylbenzenesulfonic acid   2-Ethoxy-1-[[2'-(N'-hydroxycarbamimidoyl)biphenyl-4-yl]methyl]-1H-benzimidazole-7-carboxylic acid   Bis(8-quinolinolato) zinc   Antimycin A   3,5-Dibromo-4-methylphenol   2-Hydroxy-Docosanoic Acid   Methyl 2-Hydroxydocosanoate   3-(2-chloro-5,6-dihydrobenzo[b][1]benzazepin-11-yl)-N-methyl-N-(trideuteriomethyl)propan-1-amine hydrochloride