Online Database of Chemicals from Around the World

SDS Samples

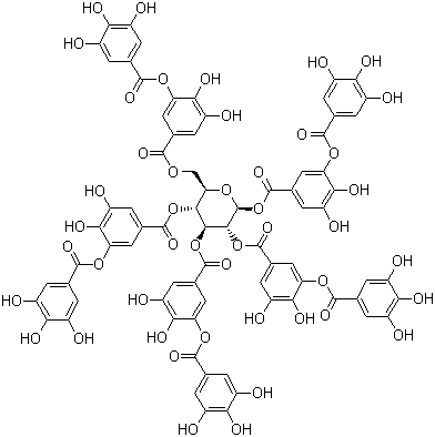
Tannic acid
[ CAS# 1401-55-4 ]

Product Info

structure of CAS# 1401-55-4, Tannic acid
Product Name Tannic acid
CAS Registry Number 1401-55-4
Molecular Formula C76H52O46
Molecular Weight 1701.22
More information of Tannic acid
Suppliers of Tannic acid
 
Source SDS Document
Alfa-Aesar
www.alfa.com/en/content/msds/USA/36410.pdf
View / download
Sigma-Aldrich
www.sigmaaldrich.com/catalog/Lookup.do?N5=All&N3=mode+matchpartialmax&N1=S_ID&ST=RS&N25=0&F=PR&D7=0&N4=1401-55-4
View / download
Acros-Organics
www.acros.com/DesktopModules/Acros_Search_Results/Acros_Search_Results.aspx?search_type=CAS&SearchString=1401-55-4
View / download

Disclaimer

The SDS samples above are collected from the Internet by chemBlink and displayed here for the tutorial purpose only. chemBlink LLC provides the information contained herein in good faith but makes no representation as to its comprehensiveness or accuracy. Read full context...


More SDS files for chemicals
Perchloric Acid Thulium Salt   2,3,4,6-Tetra-O-acetyl-D-mannopyranose   Epimedin A1   (S)-N-Boc-pyrrolidine-3-carboxylic acid   Ruthenium (III) Bromide   N-Methyl Valganciclovir Hydrochloride   [4-(4-Nitrophenyl)-2-Thiazolyl]Thiourea   N-Methyl-N-(7-Nitro-2,1,3-Benzoxadiazol-4-Yl)Glycyl Chloride   Tylosin   N-(1-Oxohexyl)-L-tyrosyl-N-(6-amino-6-oxohexyl)-L-isoleucinamide