Online Database of Chemicals from Around the World

SDS Samples

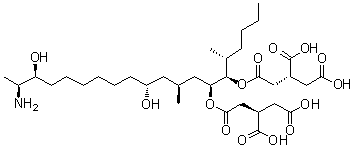
Fumonisin B3
[ CAS# 1422359-85-0 ]

Product Info

structure of CAS# 1422359-85-0, Fumonisin B3
Product Name Fumonisin B3
CAS Registry Number 1422359-85-0
Molecular Formula C34H59NO14
Molecular Weight 705.83
More information of Fumonisin B3
Suppliers of Fumonisin B3
 
Source SDS Document
Apollo
www.apolloscientific.co.uk/downloads/msds/BIF1008_msds.pdf
View / download
Cayman
www.caymanchem.com/msdss/20434m.pdf
View / download

Disclaimer

The SDS samples above are collected from the Internet by chemBlink and displayed here for the tutorial purpose only. chemBlink LLC provides the information contained herein in good faith but makes no representation as to its comprehensiveness or accuracy. Read full context...


More SDS files for chemicals
9-Oxodecanoic Acid   Protionamide   (8R)-9-(6-Amino-9H-purin-9-yl)-8-methyl-5-(1-methylethoxy)-2,4,7-trioxa-5-phosphanonanoic acid 1-methylethyl ester 5-oxide 2-butenedioate (1:1)   1-[4-(Trifluoromethoxy)Phenyl]Thiourea   Rotigotine EP Impurity G   5,5,5-Trifluoro-4-(Trifluoromethyl)-3-Penten-2-One   7-Chloro-2,1,3-Benzoxadiazole-4-Sulfonyl Chloride   N-Boc-(4-piperidin-4-yl)butyric acid   2-Methyl-4,5-Diphenyloxazole   Fexofenadine N-Oxide