Online Database of Chemicals from Around the World

SDS Samples

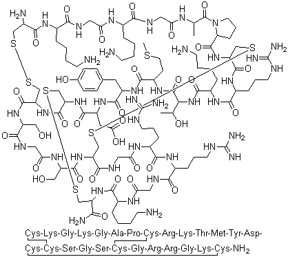
omega-Conotoxin M VIIC
[ CAS# 147794-23-8 ]

Product Info

structure of CAS# 147794-23-8, omega-Conotoxin M VIIC
Product Name omega-Conotoxin M VIIC
CAS Registry Number 147794-23-8
Molecular Formula C106H178N40O32S7
Molecular Weight 2749.25
More information of omega-Conotoxin M VIIC
Suppliers of omega-Conotoxin M VIIC
 
Source SDS Document
Sigma-Aldrich
www.sigmaaldrich.com/catalog/Lookup.do?N5=All&N3=mode+matchpartialmax&N1=S_ID&ST=RS&N25=0&F=PR&D7=0&N4=147794-23-8
View / download
Cayman
www.caymanchem.com/msdss/24411m.pdf
View / download

Disclaimer

The SDS samples above are collected from the Internet by chemBlink and displayed here for the tutorial purpose only. chemBlink LLC provides the information contained herein in good faith but makes no representation as to its comprehensiveness or accuracy. Read full context...


More SDS files for chemicals
N-{[4'-({3-Butyl-5-Oxo-1-[2-(Trifluoromethyl)Phenyl]-1,5-Dihydro-4H-1,2,4-Triazol-4-Yl}Methyl)-2-Biphenylyl]Sulfonyl}-3-Methyl-2-Thiophenecarboxamide   (S)-2-Amino-6-methoxy-6-oxohexanoic acid hydrochloride   2-Imino-3-Methylbenzothiazole   2-Amino-5-methylbenzothiazole   (2E)-3-(5-Methyl-2-Furyl)Acrylic Acid   3,5-Dimethoxy-4-ethoxybenzoic acid   Santacruzamate A   Methylamine-D2 Deuteriochloride   3-Oxo-N-[(3S)-tetrahydro-2-oxo-3-furanyl]octanamide   Methylamine-D5 Deuteriochloride