Online Database of Chemicals from Around the World

化学品安全技术说明书

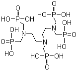
二乙烯三胺五甲叉膦酸
[ CAS# 15827-60-8 ]

产品概述

structure of CAS# 15827-60-8, 二乙烯三胺五甲叉膦酸
产品名称 二乙烯三胺五甲叉膦酸
CAS 登录号 15827-60-8
分子式 C9H28N3O15P5
分子量 573.20
二乙烯三胺五甲叉膦酸的详细资料
二乙烯三胺五甲叉膦酸的供应商
 
资料来源 SDS 样本
Ambeed
file.ambeed.com/static/upload/prosds/am/330/SDS-A329794.pdf
浏览或下载

免责声明

本页所列之化学品安全技术说明书样本系 chemBlink 公司搜集的互联网公开信息,仅用于指导化学品安全技术说明书的编辑与制作。chemBlink 竭诚提供可靠信息,然而不承诺其完备与准确。 阅读全文...




相关化学品安全技术说明书
3-(1-吡咯烷基)-1-丁醇   色甘酸钠   乙酰苯胺-2',3',4',5',6'-D5   顺式-1,4-环己烷二胺   1-乙氧羰基-5-甲基-(3R)-叔丁基二甲硅氧基戊二酸酯   N6-(2-吡啶基羰基)-L-赖氨酸   2,5-二苯基-吡啶   4-氨基-3-吡啶甲腈   4-氨基-3-氯-5-甲基苯甲腈   3-(2-溴代-1-氧代丙基)-螺[2H-1,3-苯并噁嗪-2,1'-环己烷]-4(3H)-酮