Online Database of Chemicals from Around the World

SDS Samples

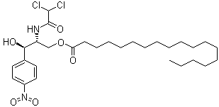
Eusynthomycin
[ CAS# 16255-48-4 ]

Product Info

structure of CAS# 16255-48-4, Eusynthomycin
Product Name Eusynthomycin
CAS Registry Number 16255-48-4
Molecular Formula C29H46Cl2N2O6
Molecular Weight 589.59
More information of Eusynthomycin
Suppliers of Eusynthomycin
 
Source SDS Document
Matrix
www.matrixscientific.com/media/msds/05/96/79/MxMSDS_059679.pdf
View / download

Disclaimer

The SDS samples above are collected from the Internet by chemBlink and displayed here for the tutorial purpose only. chemBlink LLC provides the information contained herein in good faith but makes no representation as to its comprehensiveness or accuracy. Read full context...


More SDS files for chemicals
2-Methyl-2-Propanyl {(1S)-2-[4-(Benzyloxy)Phenyl]-1-[(2S)-2-Oxiranyl]Ethyl}Carbamate   Methoxycarbonyl-L-tert-leucine   Furo[4,5-b]Pyridin-2-Ylmethanol   4,6-Difluoro-1-indanone   O-(Dimethoxyphosphoryl)-N-{[(2-Methyl-2-Propanyl)Oxy]Carbonyl}-L-Threonine   N-Fmoc-N'-Boc-L-2,3-Diaminopropionic acid   1-(2-Ethoxy-2-oxoethyl)-6-methoxyquinolinium bromide   2-[(2-Chloro-5-Fluoro-4-Pyrimidinyl)Amino]Ethanol   2-Methyl-2-[(propan-2-yl)amino]propanenitrile   S-Cbz-L-cysteine