Online Database of Chemicals from Around the World

SDS Samples

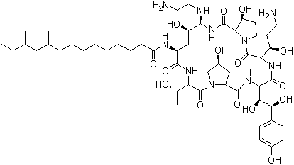
Caspofungin
[ CAS# 162808-62-0 ]

Product Info

structure of CAS# 162808-62-0, Caspofungin
Product Name Caspofungin
CAS Registry Number 162808-62-0
Molecular Formula C52H88N10O15
Molecular Weight 1093.31
More information of Caspofungin
Suppliers of Caspofungin
 
Source SDS Document
Biosynth
www.biosynth.com/downloadPDF/MSDS_C-2040_1000_EN.pdf
View / download

Disclaimer

The SDS samples above are collected from the Internet by chemBlink and displayed here for the tutorial purpose only. chemBlink LLC provides the information contained herein in good faith but makes no representation as to its comprehensiveness or accuracy. Read full context...


More SDS files for chemicals
Benzo[b]naphtho[2,3-d]furan-2-ylboronic acid   PLX51107   4-(1H-1,2,3-triazol-1-yl)aniline   4-Bromo-2-(1H-pyrrolo[2,3-b]pyridin-5-yloxy)benzoic acid 1,1-dimethylethyl ester   1-[[2-(4-Chlorophenyl)-4,4-dimethyl-1-cyclohexen-1-yl]methyl]piperazine dihydrochloride   Dichloro(3-Chloro-2-Methylpropyl)Methyl-Silane   3-Hydroxy-3-methyloxetane   4,7-Dihydro-6-(1-methylethyl)-7-oxo-5-phenylpyrazolo[1,5-a]pyrimidine-3-carbonitrile   1,2-Diphenyl-butan-1-one   Octahydro-2H,2'H-2,2'-Bipyran