Online Database of Chemicals from Around the World

SDS Samples

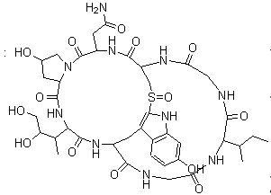
alpha-Amatoxin
[ CAS# 23109-05-9 ]

Product Info

structure of CAS# 23109-05-9, alpha-Amatoxin
Product Name alpha-Amatoxin
CAS Registry Number 23109-05-9
Molecular Formula C39H54N10O14S
Molecular Weight 918.97
More information of alpha-Amatoxin
Suppliers of alpha-Amatoxin
 
Source SDS Document
Sigma-Aldrich
www.sigmaaldrich.com/catalog/Lookup.do?N5=All&N3=mode+matchpartialmax&N1=S_ID&ST=RS&N25=0&F=PR&D7=0&N4=23109-05-9
View / download
Cayman
www.caymanchem.com/msdss/17898m.pdf
View / download

Disclaimer

The SDS samples above are collected from the Internet by chemBlink and displayed here for the tutorial purpose only. chemBlink LLC provides the information contained herein in good faith but makes no representation as to its comprehensiveness or accuracy. Read full context...


More SDS files for chemicals
2-Chloropyridine-5-carbaldehyde   Phosalone   Sodium Formate-13C   Pirimicarb   Methyl(triphenylphosphine)gold(I)   Fumagillin   3-Carbamoyl-1-beta-D-ribofuranosylpyridinium chloride   1-Bromo-1-Fluoroethane   4-(2,4-Dimethoxy-Phenyl)-Thiazol-2-Ylamine   2,6-Dimethoxyphenylboronic acid