Online Database of Chemicals from Around the World

SDS Samples

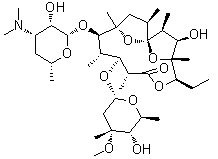
Anhydroerythromycin A
[ CAS# 23893-13-2 ]

Product Info

structure of CAS# 23893-13-2, Anhydroerythromycin A
Product Name Anhydroerythromycin A
CAS Registry Number 23893-13-2
Molecular Formula C37H65NO12
Molecular Weight 715.91
More information of Anhydroerythromycin A
Suppliers of Anhydroerythromycin A
 
Source SDS Document
Sigma-Aldrich
www.sigmaaldrich.com/catalog/Lookup.do?N5=All&N3=mode+matchpartialmax&N1=S_ID&ST=RS&N25=0&F=PR&D7=0&N4=23893-13-2
View / download

Disclaimer

The SDS samples above are collected from the Internet by chemBlink and displayed here for the tutorial purpose only. chemBlink LLC provides the information contained herein in good faith but makes no representation as to its comprehensiveness or accuracy. Read full context...


More SDS files for chemicals
Cinepazet   Cinepazide   1-Phenyl-4-iodopyrazole   Y6-BO-4F   [(2,2-Dimethylpropanoyl)amino]acetic acid   4,5-Dibromohexahydrophthalic Anhydride   6-Amino-1-naphthol   6-Hydroxy-1-Phenyl-1,3-Hexanedione   N-Boc-N'-Cbz-L-lysine   (4-Nitrophenyl) 2-[(2-Methylpropan-2-Yl)Oxycarbonylamino]-6-(Phenylmethoxycarbonylamino)Hexanoate