Online Database of Chemicals from Around the World

SDS Samples

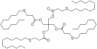
2,2-Bis[[3-(dodecylthio)-1-oxopropoxy]methyl]propane-1,3-diyl bis[3-(dodecylthio)propionate]
[ CAS# 29598-76-3 ]

Product Info

structure of CAS# 29598-76-3, 2,2-Bis[[3-(dodecylthio)-1-oxopropoxy]methyl]propane-1,3-diyl bis[3-(dodecylthio)propionate]
Product Name 2,2-Bis[[3-(dodecylthio)-1-oxopropoxy]methyl]propane-1,3-diyl bis[3-(dodecylthio)propionate]
CAS Registry Number 29598-76-3
Molecular Formula C65H124O8S4
Molecular Weight 1161.95
More information of 2,2-Bis[[3-(dodecylthio)-1-oxopropoxy]methyl]propane-1,3-diyl bis[3-(dodecylthio)propionate]
Suppliers of 2,2-Bis[[3-(dodecylthio)-1-oxopropoxy]methyl]propane-1,3-diyl bis[3-(dodecylthio)propionate]
 
Source SDS Document
Accu-Standard
www.accustandard.com/docshare/msds/SDS_PLAS-AX-030N.pdf
View / download

Disclaimer

The SDS samples above are collected from the Internet by chemBlink and displayed here for the tutorial purpose only. chemBlink LLC provides the information contained herein in good faith but makes no representation as to its comprehensiveness or accuracy. Read full context...


More SDS files for chemicals
1-Chloro-2,3-Indoledione   2-Propenoic acid, isooctyl ester   1-(4,6-Diamino-1,3,5-triazin-2-yl)guanidine hydrochloride   N-[(4-Acetamidophenyl)Sulfonyl]Acetamide   Cedrene epoxide   2-Phenylglutaric Anhydride   N-Benzylhydroxylamine hydrochloride   2-Hydroxy-4-(Methoxycarbonyl)Benzoic Acid   N1-(5-Nitro-2-Pyridinyl)-1,2-Ethanediamine   N-(Diphenylphosphino)-P,P-diphenylphosphinous amide