Online Database of Chemicals from Around the World

SDS Samples

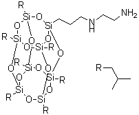
N1-[3-[3,5,7,9,11,13,15-Heptakis(2-methylpropyl)pentacyclo[9.5.1.1(3,9).1(5,15).1(7,13)]octasiloxan-1-yl]propyl]-1,2-ethanediamine
[ CAS# 444315-16-6 ]

Product Info

structure of CAS# 444315-16-6, N1-[3-[3,5,7,9,11,13,15-Heptakis(2-methylpropyl)pentacyclo[9.5.1.1(3,9).1(5,15).1(7,13)]octasiloxan-1-yl]propyl]-1,2-ethanediamine
Product Name N1-[3-[3,5,7,9,11,13,15-Heptakis(2-methylpropyl)pentacyclo[9.5.1.1(3,9).1(5,15).1(7,13)]octasiloxan-1-yl]propyl]-1,2-ethanediamine
CAS Registry Number 444315-16-6
Molecular Formula C33H76N2O12Si8
Molecular Weight 917.65
More information of N1-[3-[3,5,7,9,11,13,15-Heptakis(2-methylpropyl)pentacyclo[9.5.1.1(3,9).1(5,15).1(7,13)]octasiloxan-1-yl]propyl]-1,2-ethanediamine
Suppliers of N1-[3-[3,5,7,9,11,13,15-Heptakis(2-methylpropyl)pentacyclo[9.5.1.1(3,9).1(5,15).1(7,13)]octasiloxan-1-yl]propyl]-1,2-ethanediamine
 
Source SDS Document
Sigma-Aldrich
www.sigmaaldrich.com/catalog/Lookup.do?N5=All&N3=mode+matchpartialmax&N1=S_ID&ST=RS&N25=0&F=PR&D7=0&N4=444315-16-6
View / download

Disclaimer

The SDS samples above are collected from the Internet by chemBlink and displayed here for the tutorial purpose only. chemBlink LLC provides the information contained herein in good faith but makes no representation as to its comprehensiveness or accuracy. Read full context...


More SDS files for chemicals
2-Iodobenzotrifluoride   alpha,alpha,alpha-Trifluoro-o-cresol   1-(4-Fluorophenyl)-2-Propanol   [2,5-Bis(Octyloxy)-1,4-Phenylene]Dimethanol   5,7,8-Trihydroxyflavone   1,3,5,7,9,11,13-Heptaisobutyl-15-[3-(2-Oxiranylmethoxy)Propoxy]Pentacyclo[9.5.1.13,9.15,15.17,13]Octasiloxane   2-Phthalimidoethanesulfonamide   6-(1,3-Dioxo-1,3-Dihydro-Isoindol-2-Yl)-Hexanoic Acid   (5R)-3-(4-Bromo-3-fluorophenyl)-5-hydroxymethyloxazolidin-2-one   Potassium Butyl(Trifluoro)Borate(1-)