Online Database of Chemicals from Around the World

SDS Samples

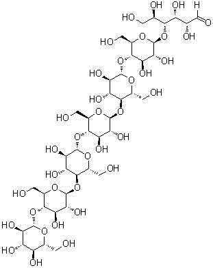
Celloheptaose
[ CAS# 52646-27-2 ]

Product Info

structure of CAS# 52646-27-2, Celloheptaose
Product Name Celloheptaose
CAS Registry Number 52646-27-2
Molecular Formula C42H72O36
Molecular Weight 1153.00
More information of Celloheptaose
Suppliers of Celloheptaose
 
Source SDS Document
Alfa-Aesar
www.alfa.com/en/content/msds/USA/J67803.pdf
View / download

Disclaimer

The SDS samples above are collected from the Internet by chemBlink and displayed here for the tutorial purpose only. chemBlink LLC provides the information contained herein in good faith but makes no representation as to its comprehensiveness or accuracy. Read full context...


More SDS files for chemicals
4-(4-Chlorobutyl)pyridine   2,3,4,9-Tetrahydro-2-[2-(methylamino)benzoyl]-1H-pyrido[3,4-b]indol-1-one   5-Methoxy-3,4-dihydro-2H-pyrrole   Permethrin   Ethyl 2,3,4,6-tetra-O-acetyl-alpha-D-thioglucopyranoside   4-Chloro-3,5-Dinitrotoluene   2,3-Dimethyl-5-fluoroindole   1-Bromo-6-Methylheptane   2-Isothiocyanatopyridine   6-Chloroindane-1-Carboxylic Acid