Online Database of Chemicals from Around the World

SDS Samples

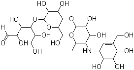
Acarbose
[ CAS# 56180-94-0 ]

Product Info

structure of CAS# 56180-94-0, Acarbose
Product Name Acarbose
CAS Registry Number 56180-94-0
Molecular Formula C25H43NO18
Molecular Weight 645.61
More information of Acarbose
Suppliers of Acarbose
 
Source SDS Document
Alfa-Aesar
www.alfa.com/en/content/msds/USA/J61737.pdf
View / download
Sigma-Aldrich
www.sigmaaldrich.com/catalog/Lookup.do?N5=All&N3=mode+matchpartialmax&N1=S_ID&ST=RS&N25=0&F=PR&D7=0&N4=56180-94-0
View / download
TCI
www.spectrumchemical.com/MSDS/TCI-A2485.pdf
View / download

Disclaimer

The SDS samples above are collected from the Internet by chemBlink and displayed here for the tutorial purpose only. chemBlink LLC provides the information contained herein in good faith but makes no representation as to its comprehensiveness or accuracy. Read full context...


More SDS files for chemicals
3-Oxabicyclo[3.1.0]hexane-2,4-dione   2-Ethoxy-5-fluoro-1H-pyrimidin-4-one   Cyclopropylpropanedioic acid   Chrysanthemol   Cyclopropanepropanoic acid   4-Chloro-5-bromopyrimidine   2-Bromo-4,6-diphenylpyrimidine   3-[1,1'-Biphenyl]-4-Yl-3,4-Dihydronaphthalen-1(2H)-One   3-[1,1'-Biphenyl]-4-yl-1,2,3,4-tetrahydro-1-naphthol   2-Bromothiophene-3-Carbonitrile