Online Database of Chemicals from Around the World

SDS Samples

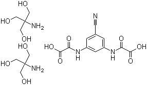
Lodoxamide tromethamine
[ CAS# 63610-09-3 ]

Product Info

structure of CAS# 63610-09-3, Lodoxamide tromethamine
Product Name Lodoxamide tromethamine
CAS Registry Number 63610-09-3
Molecular Formula C11H6ClN3O6.2(C4H11NO3)
Molecular Weight 553.14
More information of Lodoxamide tromethamine
Suppliers of Lodoxamide tromethamine
 
Source SDS Document
Matrix
www.matrixscientific.com/media/msds/14/33/36/MxMSDS_143336.pdf
View / download

Disclaimer

The SDS samples above are collected from the Internet by chemBlink and displayed here for the tutorial purpose only. chemBlink LLC provides the information contained herein in good faith but makes no representation as to its comprehensiveness or accuracy. Read full context...


More SDS files for chemicals
2-Bromo-5-methoxyphenol   4-(Phenoxymethyl)Piperidinium Chloride   4-[(4-Chlorophenoxy)methyl]piperidine   1,4-Benzenedicarboxylic acid diethyl ester   Indobufen   2-Chloro-5-nitrobenzaldehyde   2-Chloro-6-nitrobenzaldehyde   2,5-Dichlorobenzaldehyde   Nilutamide   3-Benzyl-3-Azabicyclo[3.1.0]Hexane-1-Carboxylic Acid