Online Database of Chemicals from Around the World

SDS Samples

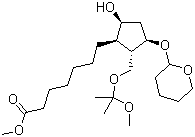
[1R-(1a,2b,3a,5a)]-5-Hydroxy-2-[(1-methoxy-1-methylethoxy)methyl]-3-[(tetrahydro-2H-pyran-2-yl)oxy]cyclopentaneheptanoic acid methyl ester
[ CAS# 69810-10-2 ]

Product Info

structure of CAS# 69810-10-2, [1R-(1a,2b,3a,5a)]-5-Hydroxy-2-[(1-methoxy-1-methylethoxy)methyl]-3-[(tetrahydro-2H-pyran-2-yl)oxy]cyclopentaneheptanoic acid methyl ester
Product Name [1R-(1a,2b,3a,5a)]-5-Hydroxy-2-[(1-methoxy-1-methylethoxy)methyl]-3-[(tetrahydro-2H-pyran-2-yl)oxy]cyclopentaneheptanoic acid methyl ester
CAS Registry Number 69810-10-2
Molecular Formula C23H42O7
Molecular Weight 430.58
More information of [1R-(1a,2b,3a,5a)]-5-Hydroxy-2-[(1-methoxy-1-methylethoxy)methyl]-3-[(tetrahydro-2H-pyran-2-yl)oxy]cyclopentaneheptanoic acid methyl ester
Suppliers of [1R-(1a,2b,3a,5a)]-5-Hydroxy-2-[(1-methoxy-1-methylethoxy)methyl]-3-[(tetrahydro-2H-pyran-2-yl)oxy]cyclopentaneheptanoic acid methyl ester
 
Source SDS Document
Matrix
www.matrixscientific.com/media/msds/09/62/31/MxMSDS_096231.pdf
View / download

Disclaimer

The SDS samples above are collected from the Internet by chemBlink and displayed here for the tutorial purpose only. chemBlink LLC provides the information contained herein in good faith but makes no representation as to its comprehensiveness or accuracy. Read full context...


More SDS files for chemicals
Fusilade   1-Methyl-1H-Pyrrole-2-Methanamine   1H-1,2,4-Triazole-1-Propanamine   Pinacol 3,5-di(trifluoromethyl)benzeneboronate   Agarotetrol   5-Ethyl-3-hydroxy-4-methyl-2(5H)furanone   Ormetoprim   2-Acetamido-4-methyl-5-thiazolesulfonyl chloride   2-(Acetylamino)-5-Thiazolesulfonylchloride   4-Chlorosulfonylbenzoic acid methyl ester