Online Database of Chemicals from Around the World

SDS Samples

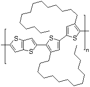
Lisicon SP 210
[ CAS# 888491-19-8 ]

Product Info

structure of CAS# 888491-19-8, Lisicon SP 210
Product Name Lisicon SP 210
CAS Registry Number 888491-19-8
Molecular Formula (C42H62S4)n
More information of Lisicon SP 210
Suppliers of Lisicon SP 210
 
Source SDS Document
Sigma-Aldrich
www.sigmaaldrich.com/catalog/Lookup.do?N5=All&N3=mode+matchpartialmax&N1=S_ID&ST=RS&N25=0&F=PR&D7=0&N4=888491-19-8
View / download

Disclaimer

The SDS samples above are collected from the Internet by chemBlink and displayed here for the tutorial purpose only. chemBlink LLC provides the information contained herein in good faith but makes no representation as to its comprehensiveness or accuracy. Read full context...


More SDS files for chemicals
2-Bromo-5-trifluoromethoxypyridine   1-Bromo-3-(2,2,2-trifluoroethoxy)benzene   (3S,5S)-3,5-Dimethyl-1-piperazinecarboxylic acid 1,1-dimethylethyl ester   N-Methyl-N-propylpiperidinium bromide   2'-Deoxy-7,8-dihydro-8-oxoguanosine   1H-Pyrrolo[2,3-b]pyridine-4-methanamine   1,6-Dihydro-5-hydroxy-1-methyl-2-[1-methyl-1-[[(phenylmethoxy)carbonyl]amino]ethyl]-6-oxo-4-pyrimidinecarboxylic acid methyl ester   5-Methyl-1,3,4-oxadiazole-2-carboxylic acid potassium salt   Piriprost Potassium Salt   2-Propenal 2-(2,4-dinitrophenyl)hydrazone