Online Database of Chemicals from Around the World

SDS Samples

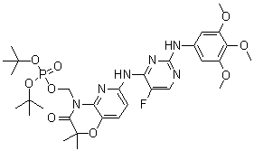
Phosphoric acid bis(1,1-dimethylethyl) [6-[[5-fluoro-2-[(3,4,5-trimethoxyphenyl)amino]-4-pyrimidinyl]amino]-2,3-dihydro-2,2-dimethyl-3-oxo-4H-pyrido[3,2-b]-1,4-oxazin-4-yl]methyl ester
[ CAS# 901119-38-8 ]

Product Info

structure of CAS# 901119-38-8, Phosphoric acid bis(1,1-dimethylethyl) [6-[[5-fluoro-2-[(3,4,5-trimethoxyphenyl)amino]-4-pyrimidinyl]amino]-2,3-dihydro-2,2-dimethyl-3-oxo-4H-pyrido[3,2-b]-1,4-oxazin-4-yl]methyl ester
Product Name Phosphoric acid bis(1,1-dimethylethyl) [6-[[5-fluoro-2-[(3,4,5-trimethoxyphenyl)amino]-4-pyrimidinyl]amino]-2,3-dihydro-2,2-dimethyl-3-oxo-4H-pyrido[3,2-b]-1,4-oxazin-4-yl]methyl ester
CAS Registry Number 901119-38-8
Molecular Formula C31H42FN6O9P
Molecular Weight 692.67
More information of Phosphoric acid bis(1,1-dimethylethyl) [6-[[5-fluoro-2-[(3,4,5-trimethoxyphenyl)amino]-4-pyrimidinyl]amino]-2,3-dihydro-2,2-dimethyl-3-oxo-4H-pyrido[3,2-b]-1,4-oxazin-4-yl]methyl ester
Suppliers of Phosphoric acid bis(1,1-dimethylethyl) [6-[[5-fluoro-2-[(3,4,5-trimethoxyphenyl)amino]-4-pyrimidinyl]amino]-2,3-dihydro-2,2-dimethyl-3-oxo-4H-pyrido[3,2-b]-1,4-oxazin-4-yl]methyl ester
 
Source SDS Document
Ambeed
file.ambeed.com/static/upload/prosds/am/377/SDS-A376737.pdf
View / download

Disclaimer

The SDS samples above are collected from the Internet by chemBlink and displayed here for the tutorial purpose only. chemBlink LLC provides the information contained herein in good faith but makes no representation as to its comprehensiveness or accuracy. Read full context...


More SDS files for chemicals
Poly(methyl vinyl ether-alt-maleic anhydride)   1,1-Difluoroethylene-perfluoropropene copolymer   3-Cyclohexyl-1H-1,2,4-triazol-5-amine   Dextran sulfate sodium   Fostamatinib   Butyl Methacrylate/Isobutyl Methacrylate Copolymer   1-Bromonaphthalene   Lysostaphin endopeptidase   1-Methylnaphthalene   CELLULOSE TRIACETATE