Online Database of Chemicals from Around the World

Protoescigenine
[CAS 20853-07-0]

List of Suppliers
Chengdu Biopurify Phytochemicals Ltd. China
www.phytopurify.com
+86 (28) 8263-3860
8263-3987
+86 (28) 8263-3165
sales@biopurify.com
biopurify@gmail.com
QQ Chat
Skype Chat
Chemical manufacturer
chemBlink Standard supplier since 2017

Identification
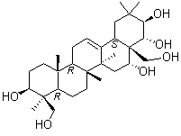
NameProtoescigenine
SynonymsProtoaescigenin; (3beta,4beta,16bta,21beta,22alpha)-Olean-12-ene-3,16,21,22,23,28-hexol
Molecular StructureProtoescigenine molecular structure (CAS 20853-07-0)
Molecular FormulaC30H50O6
Molecular Weight506.71
CAS Registry Number20853-07-0
Properties
SolubilityInsoluble (3.1E-3 g/L) (25 °C), Calc.*
Density1.23±0.1 g/cm3 (20 °C 760 Torr), Calc.*
*Calculated using Advanced Chemistry Development (ACD/Labs) Software V11.02 (©1994-2013 ACD/Labs)
Safety Data
SDSAvailable
Market Analysis Reports
Related Products
Protirelin  Protizinic acid  Protoanemonin  Protoberberine  Protocatechuate...  Protocevine  Protochlorophyl...  Protochlorophyl...  Protodeltonin  Protodioscin  Protogonyautoxi...  Protogracillin  Protohemin Mono...  Protohypericin  Protokosin  Protolichesteri...  (+)-Protoliches...  Protonitazene  Protonitazene h...  (20S)-Protopana...