Online Database of Chemicals from Around the World

Tetrapentaerythritol decanitrate
[CAS 31206-33-4]

List of Suppliers
BOC Sciences USA
www.bocsci.com
+1 (631) 485-4226
+1 (631) 614-7828
info@bocsci.com
Chemical manufacturer
chemBlink Standard supplier since 2010

Identification
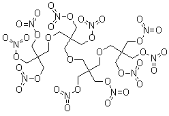
NameTetrapentaerythritol decanitrate
Molecular StructureTetrapentaerythritol decanitrate molecular structure (CAS 31206-33-4)
Molecular FormulaC20H32N10O33
Molecular Weight940.52
CAS Registry Number31206-33-4
Properties
SolubilityInsoluble (2.9E-7 g/L) (25 °C), Calc.*
Density1.651±0.06 g/cm3 (20 °C 760 Torr), Calc.*
Melting point90 °C**
*Calculated using Advanced Chemistry Development (ACD/Labs) Software V11.02 (©1994-2013 ACD/Labs)
**Faubion, Billy D.
Market Analysis Reports
Related Products
2,5,8,11-Tetrao...  3,6,9,12-Tetrao...  N-3,6,9,12-Tetr...  8,10,19,20-Tetr...  Tetraoxidosilan...  1,3,5,7-Tetraox...  2-(((5beta)-3,7...  1,3,6,8-Tetraox...  N,N'-(5,10,15,1...  1,2,3,4-Tetraox...  Tetrapentylammo...  Tetra-n-Pentyla...  Tetrapentylammo...  Tetrapentylammo...  N,N,N',N'-Tetra...  Tetrapentylgerm...  Tetrapentylstan...  Tetrapeptide-30  1,8,15,22-Tetra...  2,9,16,23-Tetra...