Online Database of Chemicals from Around the World

Chloro(1,5-hexadiene) rhodium dimer
[CAS 32965-49-4]

List of Suppliers
Sigma-Aldrich, Inc. China
www.sigmaaldrich.com
+86 (21) 6141-5566
800-819-3336
orderCN@sial.com
Chemical manufacturer since 1992
chemBlink Standard supplier since 2013
Colonial Metals, Inc. USA
www.colonialmetals.com
+1 (410) 398-7200
(800) 962-1537
+1 (410) 398-2918
sales@colonialmetals.com
Chemical manufacturer

Identification
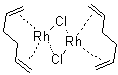
NameChloro(1,5-hexadiene) rhodium dimer
SynonymsDichlorobis(1,5-hexadiene)dirhodium
Molecular StructureChloro(1,5-hexadiene) rhodium dimer molecular structure (CAS 32965-49-4)
Molecular FormulaC12H20Cl2Rh2
Molecular Weight441.00
CAS Registry Number32965-49-4
EC Number803-662-6
Safety Data
Hazard Symbolssymbol   Xi  Details
Risk StatementsR36/37/38  Details
Safety StatementsS26  Details
Hazard Classification
up    Details
HazardClassCategory CodeHazard Statement
Skin irritationSkin Irrit.2H315
Specific target organ toxicity - single exposureSTOT SE3H335
Serious eye damageEye Dam.1H318
Eye irritationEye Irrit.2H319
SDSAvailable
Market Analysis Reports
Related Products
2-Chloro-3-(Hex...  2-[2-[2-Chloro-...  4-Chloro-N-Hexa...  4-Chloro-N-Hexa...  2-Chloro-N-[2-(...  2-Chloro-1-Hexa...  N-[2-Chloro-5-[...  N-[2-Chloro-5-[...  N-[2-Chloro-5-[...  1-Chloro-2,4-He...  4-Chlorohexa-2,...  2-Chloro-1,1,1,...  2-Chloro-1,1,1,...  1-Chloro-3,3,4,...  2-Chloro-N-[4-(...  1-Chloro-3,3,4,...  (3Z)-4-Chloro-1...  2-Chloro-1,1,1,...  1-Chloro-1,1,2,...  1-Chloro-1,1,2,...