Online Database of Chemicals from Around the World

Trimethylolpropane ethoxylated propoxylated
[CAS 52624-57-4]

List of Suppliers
BOC Sciences USA
www.bocsci.com
+1 (631) 485-4226
+1 (631) 614-7828
info@bocsci.com
Chemical manufacturer
chemBlink Standard supplier since 2010
The Dow Chemical Company USA
www.dow.com
+1 (989) 633-1706
fmdcigs@dow.com
Chemical manufacturer
chemBlink Standard supplier since 2012

Identification
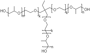
NameTrimethylolpropane ethoxylated propoxylated
SynonymsEthoxylated-propoxylated trimethylolpropane; Ethylene oxide-propylene oxide copolymer ether with trimethylolpropane; Ethylene oxide-propylene oxide copolymer trimethylolpropane ether; Trimethylolpropane polyethylene-polypropylene glycol ether
Molecular StructureTrimethylolpropane ethoxylated propoxylated molecular structure (CAS 52624-57-4)
CAS Registry Number52624-57-4
EC Number610-877-7
Safety Data
Hazard Classification
up    Details
HazardClassCategory CodeHazard Statement
Skin irritationSkin Irrit.2H315
Specific target organ toxicity - single exposureSTOT SE3H335
Eye irritationEye Irrit.2H319
Serious eye damageEye Dam.1H318
Market Analysis Reports
Related Products
Trimethyloletha...  1,1,1-Trimethyl...  Trimethyloleyla...  Trimethylolmela...  Trimethylol pro...  Trimethylolprop...  Trimethylolprop...  Trimethylolprop...  Trimethylolprop...  Trimethylolprop...  Trimethylolprop...  Trimethylolprop...  Trimethylolprop...  Trimethylolprop...  Trimethylolprop...  Trimethylolprop...  Trimethylolprop...  Trimethylolprop...  Trimethylolprop...  Trimethylolprop...