Online Database of Chemicals from Around the World

Rh2(S-TFPTTL)4
[CAS 564450-56-2]

List of Suppliers
CAS: 564450-56-2
Product: Rh2(S-TFPTTL)4
No suppliers available.
Identification
NameRh2(S-TFPTTL)4
SynonymsTetrakis[mu-[(alphaS)-alpha-(1,1-dimethylethyl)-4,5,6,7-tetrafluoro-1,3-dihydro-1,3-dioxo-2H-isoindole-2-acetato]]dirhodium
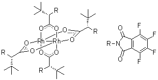
Molecular StructureRh2(S-TFPTTL)4 molecular structure (CAS 564450-56-2)
Molecular FormulaC56H40F16N4O16Rh2
Molecular Weight1534.72
CAS Registry Number564450-56-2
Properties
Melting point>280 °C (ethyl acetate hexane )*
*Tsutsui, Hideyuki
Market Analysis Reports
Related Products
Rhodomyrtoxin  Rhodosporin  Rhodotorulic Ac...  Rhoduline acid  Rhoeadine  Rhoifolin  Rhoplex HA 8  Rhosin  Rhosin hydrochl...  Rh2(S-TCPTTL)4  Rhuscholide A  Rhynchophylline  RI-1  Ribavirin-13C2  Ribavirin  alpha-Ribavirin  Ribavirin 5’-Mo...  Ribavirin amidi...  Ribavirin Carbo...  Ribavirin 5'-Di...