Online Database of Chemicals from Around the World

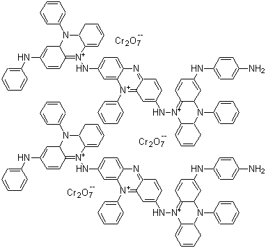
3-[[8-[(4-Aminophenyl)amino]-10-phenylphenazinium-2-yl]amino]-5-phenyl-7-[[10-phenyl-8-(phenylamino)phenazinium-2-yl]amino]phenazinium salt with chromic acid
[CAS 75578-75-5]

List of Suppliers
Winchem Industrial Co., Ltd. China
www.win-chemical.com
+86 (574) 8385-1061
+86 (574) 8708-3209
info@win-chemical.com
hhp13@hotmail.com
Chemical manufacturer
chemBlink Standard supplier since 2010
Alfa Chemistry USA
www.alfa-chemistry.com
+1 (201) 478-8534
+1 (516) 927-0118
inquiry@alfa-chemistry.com
Chemical distributor since 2012
chemBlink Standard supplier since 2012

Identification
Name3-[[8-[(4-Aminophenyl)amino]-10-phenylphenazinium-2-yl]amino]-5-phenyl-7-[[10-phenyl-8-(phenylamino)phenazinium-2-yl]amino]phenazinium salt with chromic acid
Molecular Structure3-[[8-[(4-Aminophenyl)amino]-10-phenylphenazinium-2-yl]amino]-5-phenyl-7-[[10-phenyl-8-(phenylamino)phenazinium-2-yl]amino]phenazinium salt with chromic acid molecular structure (CAS 75578-75-5)
Molecular Formula2(C66H48N11).3(Cr2O7)
Molecular Weight2638.29
CAS Registry Number75578-75-5
Market Analysis Reports
Related Products
2-[(2-Aminophen...  4-[(4-Aminophen...  1-[[2-[(2-Amino...  5-Amino-8-(Phen...  2-[(4-Aminophen...  2-[(3-Aminophen...  2-[(4-Aminophen...  N-[6-(2-Aminoph...  1-[(3-Aminophen...  (3-Aminophenyl)...  (2S)-2-Amino-3-...  1-[(4-Aminophen...  2-[(4-Aminophen...  (3R)-3-[(2-Amin...  N-[4-[[(3-Amino...  3-Amino-2-(Phen...  N-[[(4-Aminophe...  3-(3-Aminopheny...  3-(4-Aminopheny...  N-(3-Aminopheny...