Online Database of Chemicals from Around the World

Disodium capryloamphodiacetate
[CAS 7702-01-4]

List of Suppliers
Alfa Chemistry USA
www.alfa-chemistry.com
+1 (201) 478-8534
+1 (516) 927-0118
inquiry@alfa-chemistry.com
Chemical distributor since 2012
chemBlink Standard supplier since 2012

Identification
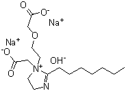
NameDisodium capryloamphodiacetate
Synonyms1-[2-(Carboxymethoxy)ethyl]-1-(carboxymethyl)-2-heptyl-4,5-dihydro-1H-imidazolium hydroxide disodium salt; Mackam 2CY75; Miranol J 2M
Molecular StructureDisodium capryloamphodiacetate molecular structure (CAS 7702-01-4)
Molecular FormulaC16H27N2O5.OH.Na2
Molecular Weight390.38
CAS Registry Number7702-01-4
EC Number231-721-0
Market Analysis Reports
Related Products
Disodium 4-[4-[...  Disodium 5-[[4-...  Disodium (2E)-5...  Disodium (8Z)-8...  Disodium 2-Buto...  Disodium (9Z)-1...  Disodium Butyl ...  Disodium 5-({4-...  Disodium 3,3'-(...  Disodium Cantha...  Disodium 7-({2-...  Disodium 2-[[5-...  Disodium 2-[[5-...  Disodium 2-[(2Z...  Disodium 6-[[4-...  Disodium (<sup>...  Disodium 3,3'-c...  Disodium 7,7'-{...  Disodium 3,3'-{...  Disodium 3,3'-[...