Online Database of Chemicals from Around the World

2-(Octadecylthio)ethyl 4-O-alpha-D-galactopyranosyl-beta-D-galactopyranoside
[CAS 87019-34-9]

List of Suppliers
Carbosynth China Ltd. China
www.carbosynth.cn
+86 (512) 6260-5585
+86 (512) 6260-5576
sales@carbosynth.com
QQ Chat
Chemical manufacturer since 2006
chemBlink Standard supplier since 2016

Identification
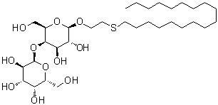
Name2-(Octadecylthio)ethyl 4-O-alpha-D-galactopyranosyl-beta-D-galactopyranoside
Molecular Structure2-(Octadecylthio)ethyl 4-O-alpha-D-galactopyranosyl-beta-D-galactopyranoside molecular structure (CAS 87019-34-9)
Molecular FormulaC32H62O11S
Molecular Weight654.89
CAS Registry Number87019-34-9
Properties
SolubilityInsoluble (5.0E-4 g/L) (25 °C), Calc.*
Density1.21±0.1 g/cm3 (20 °C 760 Torr), Calc.*
*Calculated using Advanced Chemistry Development (ACD/Labs) Software V11.02 (©1994-2014 ACD/Labs)
Safety Data
SDSAvailable
Market Analysis Reports
Related Products
Octadecyl Salic...  Octadecyl-Silan...  2,2''',2''''''-...  1-O-Octadecyl-S...  Octadecyl stear...  n-Octadecylsucc...  Octadecylsuccin...  Octadecylsuccin...  2-[[1-(2-Octade...  Octadecyl Tetra...  2-(Octadecylthi...  3-Octadecylthio...  4-(Octadecyl)To...  2-(Octadecyl)To...  N-Octadecyl-P-T...  N-Octadecyl-2,4...  Octadecyltrichl...  Octadecyltrieth...  Octadecyl trifl...  Octadecyltrigly...