| BOC Sciences | USA | |||
|---|---|---|---|---|
![]() | www.bocsci.com | |||
![]() | +1 (631) 485-4226 | |||
![]() | +1 (631) 614-7828 | |||
![]() | info@bocsci.com | |||
| Chemical manufacturer | ||||
| chemBlink Standard supplier since 2010 | ||||
| Chengdu Must Bio-technology Co., Ltd. | China | |||
|---|---|---|---|---|
![]() | www.cdmust.com | |||
![]() | +86 (28) 8528-7229 | |||
![]() | +86 (28) 8738-4368 | |||
![]() | anniedai0203@gmail.com | |||
| Chemical manufacturer since 2007 | ||||
| chemBlink Standard supplier since 2012 | ||||
| Carbosynth China Ltd. | China | |||
|---|---|---|---|---|
![]() | www.carbosynth.cn | |||
![]() | +86 (512) 6260-5585 | |||
![]() | +86 (512) 6260-5576 | |||
![]() | sales@carbosynth.com | |||
![]() | QQ Chat | |||
| Chemical manufacturer since 2006 | ||||
| chemBlink Standard supplier since 2016 | ||||
| Chengdu Biopurify Phytochemicals Ltd. | China | |||
|---|---|---|---|---|
![]() | www.phytopurify.com | |||
![]() | +86 (28) 8263-3860 8263-3987 | |||
![]() | +86 (28) 8263-3165 | |||
![]() | sales@biopurify.com biopurify@gmail.com | |||
![]() | QQ Chat | |||
![]() | Skype Chat | |||
| Chemical manufacturer | ||||
| chemBlink Standard supplier since 2017 | ||||
| Neostar United (Changzhou) Industrial Co., Ltd. | China | |||
|---|---|---|---|---|
![]() | www.neostarunited.com | |||
![]() | +86 (519) 8555-7386 +86 18015025600 | |||
![]() | +86 (519) 8555-7389 | |||
![]() | marketing1@neostarunited.com | |||
| Chemical distributor since 2014 | ||||
| chemBlink Standard supplier since 2020 | ||||
| Indofine Chemical Company, Inc. | USA | |||
|---|---|---|---|---|
![]() | www.indofinechemical.com | |||
![]() | +1 (888) 463-6346 | |||
![]() | +1 (908) 359-1179 | |||
![]() | info@indofinechemical.com | |||
| Chemical manufacturer since 1981 | ||||
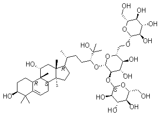
| Name | Mogroside III-A1 |
|---|---|
| Molecular Structure | ![]() |
| Molecular Formula | C48H82O19 |
| Molecular Weight | 963.15 |
| CAS Registry Number | 88901-42-2 |
| Solubility | Insoluble (4.0E-4 g/L) (25 °C), Calc.* |
|---|---|
| Density | 1.40±0.1 g/cm3 (20 °C 760 Torr), Calc.* |
| * | Calculated using Advanced Chemistry Development (ACD/Labs) Software V11.02 (©1994-2013 ACD/Labs) |
| SDS | Available |
|---|---|
| Market Analysis Reports |