Online Database of Chemicals from Around the World

N-[(E,2S,3S)-1-[(2R,3R,4R,5S,6R)-5-[(2S,4'R,4aR,5S,5'S,7R,8S,8aS)-5'-Acetamido-8-[(2S,3R,4R,5R,6R)-3-Acetamido-5-Hydroxy-6-(Hydroxymethyl)-4-[(2R,3R,4S,5R,6R)-3,4,5-Trihydroxy-6-(Hydroxymethyl)Oxan-2-Yl]Oxyoxan-2-Yl]Oxy-4'-Hydroxy-7-(Hydroxymethyl)-3-Oxo-6'-[(1S,2S)-1,2,3-Trihydroxypropyl]Spiro[5,7,8,8alpha-Tetrahydro-4aH-Pyrano[3,4-e][1,4]Dioxine-2,2'-Oxane]-5-Yl]Oxy-3,4-Dihydroxy-6-(Hydroxymethyl)Oxan-2-Yl]Oxy-3-Hydroxyoctadec-4-En-2-Yl]Octadecanamide
[CAS# 100345-64-0]

Suppliers
CAS#: 100345-64-0
Product: N-[(E,2S,3S)-1-[(2R,3R,4R,5S,6R)-5-[(2S,4'R,4aR,5S,5'S,7R,8S,8aS)-5'-Acetamido-8-[(2S,3R,4R,5R,6R)-3-Acetamido-5-Hydroxy-6-(Hydroxymethyl)-4-[(2R,3R,4S,5R,6R)-3,4,5-Trihydroxy-6-(Hydroxymethyl)Oxan-2-Yl]Oxyoxan-2-Yl]Oxy-4'-Hydroxy-7-(Hydroxymethyl)-3-Oxo-6'-[(1S,2S)-1,2,3-Trihydroxypropyl]Spiro[5,7,8,8alpha-Tetrahydro-4aH-Pyrano[3,4-e][1,4]Dioxine-2,2'-Oxane]-5-Yl]Oxy-3,4-Dihydroxy-6-(Hydroxymethyl)Oxan-2-Yl]Oxy-3-Hydroxyoctadec-4-En-2-Yl]Octadecanamide
No suppilers available for the product.
Identification
Name N-[(E,2S,3S)-1-[(2R,3R,4R,5S,6R)-5-[(2S,4'R,4aR,5S,5'S,7R,8S,8aS)-5'-Acetamido-8-[(2S,3R,4R,5R,6R)-3-Acetamido-5-Hydroxy-6-(Hydroxymethyl)-4-[(2R,3R,4S,5R,6R)-3,4,5-Trihydroxy-6-(Hydroxymethyl)Oxan-2-Yl]Oxyoxan-2-Yl]Oxy-4'-Hydroxy-7-(Hydroxymethyl)-3-Oxo-6'-[(1S,2S)-1,2,3-Trihydroxypropyl]Spiro[5,7,8,8alpha-Tetrahydro-4aH-Pyrano[3,4-e][1,4]Dioxine-2,2'-Oxane]-5-Yl]Oxy-3,4-Dihydroxy-6-(Hydroxymethyl)Oxan-2-Yl]Oxy-3-Hydroxyoctadec-4-En-2-Yl]Octadecanamide
Synonyms N-[(E,1S,2S)-1-[[(2R,3R,4R,5S,6R)-5-[(2S,4'R,4Ar,5S,5'S,7R,8S,8As)-5'-Acetamido-8-[(2S,3R,4R,5R,6R)-3-Acetamido-5-Hydroxy-6-(Hydroxymethyl)-4-[(2R,3R,4S,5R,6R)-3,4,5-Trihydroxy-6-(Hydroxymethyl)Tetrahydropyran-2-Yl]Oxy-Tetrahydropyran-2-Yl]Oxy-4'-Hydroxy-7-(Hydroxymethyl)-3-Oxo-6'-[(1S,2S)-1,2,3-Trihydroxypropyl]Spiro[5,7,8,8A-Tetrahydro-4Ah-Pyrano[3,4-E][1,4]Dioxine-2,2'-Tetrahydropyran]-5-Yl]Oxy-3,4-Dihydroxy-6-(Hydroxymethyl)Tetrahydropyran-2-Yl]Oxymethyl]-2-Hydroxy-Heptadec-3-Enyl]Octadecanamide; N-[(E,1S,2S)-1-[[(2R,3R,4R,5S,6R)-5-[[(2S,4'R,4Ar,5S,5'S,7R,8S,8As)-5'-Acetamido-8-[[(2S,3R,4R,5R,6R)-3-Acetamido-5-Hydroxy-6-(Hydroxymethyl)-4-[[(2R,3R,4S,5R,6R)-3,4,5-Trihydroxy-6-(Hydroxymethyl)-2-Tetrahydropyranyl]Oxy]-2-Tetrahydropyranyl]Oxy]-4'-Hydroxy-7-(Hydroxymethyl)-3-Oxo-6'-[(1S,2S)-1,2,3-Trihydroxypropyl]-5-Spiro[5,7,8,8A-Tetrahydro-4Ah-Pyrano[3,4-E][1,4]Dioxine-2,2'-Tetrahydropyran]Yl]Oxy]-3,4-Dihydroxy-6-(Hydroxymethyl)-2-Tetrahydropyranyl]Oxymethyl]-2-Hydroxyheptadec-3-Enyl]Octadecanamide; N-[(E,1S,2S)-1-[[(2R,3R,4R,5S,6R)-5-[(2S,4'R,4Ar,5S,5'S,7R,8S,8As)-5'-Acetamido-8-[(2S,3R,4R,5R,6R)-3-Acetamido-5-Hydroxy-6-Methylol-4-[(2R,3R,4S,5R,6R)-3,4,5-Trihydroxy-6-Methylol-Tetrahydropyran-2-Yl]Oxy-Tetrahydropyran-2-Yl]Oxy-4'-Hydroxy-3-Keto-7-Methylol-6'-[(1S,2S)-1,2,3-Trihydroxypropyl]Spiro[5,7,8,8A-Tetrahydro-4Ah-Pyrano[3,4-E][1,4]Dioxine-2,2'-Tetrahydropyran]-5-Yl]Oxy-3,4-Dihydroxy-6-Methylol-Tetrahydropyran-2-Yl]Oxymethyl]-2-Hydroxy-Heptadec-3-Enyl]Stearamide
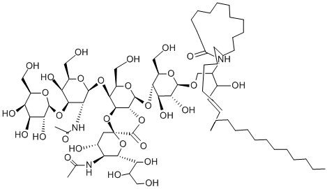
Molecular Structure CAS#: 100345-64-0, N-[(E,2S,3S)-1-[(2R,3R,4R,5S,6R)-5-[(2S,4'R,4aR,5S,5'S,7R,8S,8aS)-5'-Acetamido-8-[(2S,3R,4R,5R,6R)-3-Acetamido-5-Hydroxy-6-(Hydroxymethyl)-4-[(2R,3R,4S,5R,6R)-3,4,5-Trihydroxy-6-(Hydroxymethyl)Oxan-2-Yl]Oxyoxan-2-Yl]Oxy-4'-Hydroxy-7-(Hydroxymethyl)-3-Oxo-6'-[(1S,2S)-1,2,3-Trihydroxypropyl]Spiro[5,7,8,8alpha-Tetrahydro-4aH-Pyrano[3,4-e][1,4]Dioxine-2,2'-Oxane]-5-Yl]Oxy-3,4-Dihydroxy-6-(Hydroxymethyl)Oxan-2-Yl]Oxy-3-Hydroxyoctadec-4-En-2-Yl]Octadecanamide
Molecular Formula C73H129N3O30
Molecular Weight 1528.82
CAS Registry Number 100345-64-0
SMILES [C@]16(O[C@@H]2[C@@H](OC1=O)[C@@H](O[C@@H]([C@@H]2O[C@@H]4O[C@@H]([C@H](O)[C@H](O[C@@H]3O[C@@H]([C@H](O)[C@H](O)[C@H]3O)CO)[C@H]4NC(=O)C)CO)CO)O[C@H]5[C@H](O)[C@@H](O)[C@@H](O[C@@H]5CO)OC[C@H](NC(=O)CCCCCCCCCCCCCCCCC)[C@@H](O)\C=C\CCCCCCCCCCCCC)OC([C@@H](NC(=O)C)[C@H](O)C6)[C@@H](O)[C@@H](O)CO
InChI 1S/C73H129N3O30/c1-5-7-9-11-13-15-17-19-20-22-24-26-28-30-32-34-52(87)76-44(45(84)33-31-29-27-25-23-21-18-16-14-12-10-8-6-2)41-96-69-61(94)59(92)62(50(39-80)99-69)101-71-67-66(106-73(72(95)104-67)35-46(85)53(74-42(3)82)65(105-73)55(88)47(86)36-77)63(51(40-81)100-71)102-68-54(75-43(4)83)64(57(90)49(38-79)97-68)103-70-60(93)58(91)56(89)48(37-78)98-70/h31,33,44-51,53-71,77-81,84-86,88-94H,5-30,32,34-41H2,1-4H3,(H,74,82)(H,75,83)(H,76,87)/b33-31+/t44-,45-,46+,47-,48+,49+,50+,51+,53-,54+,55-,56-,57-,58-,59+,60+,61+,62+,63-,64+,65?,66-,67+,68-,69+,70-,71-,73-/m0/s1
InChIKey WVHBJHLTCHODOA-QUYMIQKUSA-N
Market Analysis Reports
List of Reports Available for N-[(E,2S,3S)-1-[(2R,3R,4R,5S,6R)-5-[(2S,4'R,4aR,5S,5'S,7R,8S,8aS)-5'-Acetamido-8-[(2S,3R,4R,5R,6R)-3-Acetamido-5-Hydroxy-6-(Hydroxymethyl)-4-[(2R,3R,4S,5R,6R)-3,4,5-Trihydroxy-6-(Hydroxymethyl)Oxan-2-Yl]Oxyoxan-2-Yl]Oxy-4'-Hydroxy-7-(Hydroxymethyl)-3-Oxo-6'-[(1S,2S)-1,2,3-Trihydroxypropyl]Spiro[5,7,8,8alpha-Tetrahydro-4aH-Pyrano[3,4-e][1,4]Dioxine-2,2'-Oxane]-5-Yl]Oxy-3,4-Dihydroxy-6-(Hydroxymethyl)Oxan-2-Yl]Oxy-3-Hydroxyoctadec-4-En-2-Yl]Octadecanamide
Related Products
2-Chloro-N-(2-Ethoxyethyl)-N-(2-Methoxyp...  2-Bromo-3-Phenyl-4-[(Phenylmethylamino)M...  Dimethyl-[2-(6,7,8,9-Tetrahydro-[1]Benzo...  Dimethyl-[3-(6,7,8,9-Tetrahydro-[1]Benzo...  Dicalcium Silicate  4-Prop-2-Enoxy-3,5-Dipropylbenzoic Acid  4-[(4-Prop-2-Enoxy-3,5-Dipropylbenzoyl)A...  2-Hydroxyethyl 4-Prop-2-Enoxy-3,5-Diprop...  Methyl 4-Prop-2-Enoxy-3,5-Dipropylbenzoa...  (1S,6R,7R)-1-Methyl-7-(3-Oxobutyl)-4-Pro...  (2S,3S,5S)-2-Methyl-5-[[(1S,3S)-3,5,12-T...  Dimagnesium Silicate  Calcium Chlorate Dihydrate  alpha-Guaiaconic Acid  Exo-Bicyclo[3.3.1]Nonan-3-Ol