Online Database of Chemicals from Around the World

甘氨酰-赖氨酰-精氨酰-8-赖氨酸加压素
[CAS# 100442-96-4]

供应商
CAS#: 100442-96-4
产品: 甘氨酰-赖氨酰-精氨酰-8-赖氨酸加压素
暂时没有厂家供应该产品。
基本信息
产品名称 甘氨酰-赖氨酰-精氨酰-8-赖氨酸加压素
英文名 Glycyl-lysyl-arginyl-8-lysine vasopressin
别名 Glycyl-Lysyl-Arginyl-8-Lysine Vasopressin; V-Glal; Vasopressin, Gly-Lys-Arg-8-Lys-
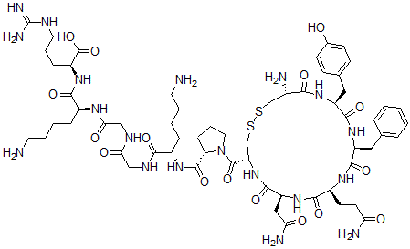
分子结构 CAS 登录号:100442-96-4, 甘氨酰-赖氨酰-精氨酰-8-赖氨酸加压素
分子式 C60H91N19O16S2
分子量 1398.62
CAS 登录号 100442-96-4
分子行输入简码 SMILES [C@@H](C(NCC(NCC(N[C@H](C(N[C@@H](CCCNC(N)=N)C(O)=O)=O)CCCCN)=O)=O)=O)(CCCCN)NC(=O)[C@H]1N(CCC1)C(=O)[C@@H]2CSSC[C@@H](C(N[C@H](C(N[C@H](C(N[C@H](C(N[C@H](C(N2)=O)CC(N)=O)=O)CCC(N)=O)=O)CC3=CC=CC=C3)=O)CC4=CC=C(C=C4)O)=O)N
国际化学标识码 InChI 1S/C60H91N19O16S2/c61-22-6-4-12-37(51(86)70-29-48(83)69-30-49(84)71-38(13-5-7-23-62)52(87)74-40(59(94)95)14-8-24-68-60(66)67)73-57(92)45-15-9-25-79(45)58(93)44-32-97-96-31-36(63)50(85)75-41(27-34-16-18-35(80)19-17-34)55(90)76-42(26-33-10-2-1-3-11-33)54(89)72-39(20-21-46(64)81)53(88)77-43(28-47(65)82)56(91)78-44/h1-3,10-11,16-19,36-45,80H,4-9,12-15,20-32,61-63H2,(H2,64,81)(H2,65,82)(H,69,83)(H,70,86)(H,71,84)(H,72,89)(H,73,92)(H,74,87)(H,75,85)(H,76,90)(H,77,88)(H,78,91)(H,94,95)(H4,66,67,68)/t36-,37-,38-,39-,40-,41-,42-,43-,44-,45-/m0/s1
国际化学标识检索码 InChIKey ZGMYVOZLIAAIGZ-BQBSFLCNSA-N
市场分析报告
请浏览甘氨酰-赖氨酰-精氨酰-8-赖氨酸加压素市场分析报告总目录
相关产品
4-庚基伞形酮-beta-葡糖苷  4-壬基伞形酮葡糖苷  1-(溴甲基)介吗川  2-(二(2-羟基乙基)氨基)乙醇(3,5-二甲基...  (E)-N-(2-(二乙基氨基)乙基)-3-苯基-...  (E)-3-苯基-1,4-苯并二恶烷-2-羧酸2-...  2-((N-2-氯乙基-N-甲基)氨基)甲基-1,...  N-(3-氯苯基)-2-(2,5-二氧代咪唑烷-4...  1,3,4,5,6,11a-六氢-2-甲基-2H-...  5,6-二羟基-1-(2-咪唑啉基)四氢萘  5-甲基-2-硝基-苯并咪唑  5-甲氧基-2-硝基-苯并咪唑  5-羟基-5-甲基海因  1-苄基-1H-咪唑-2-甲醛  5,6-二羟基环己-1,3-二烯-1-羧酸