基本信息
| 产品名称 |
2,2'-(4-{[5-脱氧-2-O-(2-脱氧-2-{[(E)-亚氨基甲基](甲基)氨基}己糖吡喃糖苷)-3-C-(羟基甲基)呋喃戊糖基]氧基}-2,5,6-三羟基-1,3-环己烷二基)二胍 |
| 英文名 |
2,2'-(4-{[5-Deoxy-2-O-(2-Deoxy-2-{[(E)-Iminomethyl](Methyl)Amino}Hexopyranosyl)-3-C-(Hydroxymethyl)Pentofuranosyl]Oxy}-2,5,6-Trihydroxy-1,3-Cyclohexanediyl)Diguanidine |
| 别名 |
Guanidine, N,N'''-(4-((5-deoxy-2-O-(2-deoxy-2-((iminomethyl)methylamino)hexopyranosyl)-3-C-(hydroxymethyl)pentofuranosyl)oxy)-2,5,6-trihydroxy-1,3-cyclohexanediyl)bis-, sulfate (1:2) (salt); Guanidine, N,N'''-[4-[[5-deoxy-2-O-[2-deoxy-2-[(iminomethyl)methylamino]hexopyranosyl]-3-C-(hydroxymethyl)pentofuranosyl]oxy]-2,5,6-trihydroxy-1,3-cyclohexanediyl]bis-, sulfate (1:2) (salt) |
|
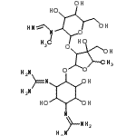
| 分子结构 |
氨基}己糖吡喃糖苷)-3-C-(羟基甲基)呋喃戊糖基]氧基}-2,5,6-三羟基-1,3-环己烷二基)二胍](/moreStructures/10225-46-4.gif) |
| 分子式 |
C22H42N8O12 |
| 分子量 |
610.62 |
| CAS 登录号 |
10225-46-4 |
| 分子行输入简码 SMILES |
O(C2C(OC1C(/N=C(\N)N)C(O)C(/N=C(\N)N)C(O)C1O)OC(C)C2(O)CO)C3OC(C(O)C(O)C3N(C=[N@H])C)CO |
| 国际化学标识码 InChI |
1S/C22H42N8O12/c1-6-22(38,4-32)17(42-18-10(30(2)5-23)14(36)11(33)7(3-31)40-18)19(39-6)41-16-9(29-21(26)27)12(34)8(28-20(24)25)13(35)15(16)37/h5-19,23,31-38H,3-4H2,1-2H3,(H4,24,25,28)(H4,26,27,29)/b23-5+ |
| 国际化学标识检索码 InChIKey |
NILIZBVATKKSNN-MUDSWDHVSA-N |
|