基本信息
| 产品名称 |
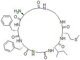
(2S,5S,11S,14S,24S)-24-氨基-11-丁烷-2-基-14-(2-甲硫基乙基)-2,5-二(苯基甲基)-1,4,7,10,13,16,20-七氮杂环二十五烷-3,6,9,12,15,21,25-七酮 |
| 英文名 |
(2S,5S,11S,14S,24S)-24-Amino-11-Butan-2-Yl-14-(2-Methylsulfanylethyl)-2,5-Bis(Phenylmethyl)-1,4,7,10,13,16,20-Heptazacyclopentacosane-3,6,9,12,15,21,25-Heptone |
| 别名 |
(2S,5S,11S,14S,24S)-24-Amino-14-(2-Methylsulfanylethyl)-2,5-Bis(Phenylmethyl)-11-Sec-Butyl-1,4,7,10,13,16,20-Heptazacyclopentacosane-3,6,9,12,15,21,25-Heptone; (2S,5S,11S,14S,24S)-24-Amino-14-[2-(Methylthio)Ethyl]-2,5-Bis(Phenylmethyl)-11-Sec-Butyl-1,4,7,10,13,16,20-Heptazacyclopentacosane-3,6,9,12,15,21,25-Heptone; (2S,5S,11S,14S,24S)-24-Amino-2,5-Bis(Benzyl)-14-[2-(Methylthio)Ethyl]-11-Sec-Butyl-1,4,7,10,13,16,20-Heptazacyclopentacosane-3,6,9,12,15,21,25-Heptone |
|
| 分子结构 |
 |
| 分子式 |
C39H56N8O7S |
| 分子量 |
780.98 |
| CAS 登录号 |
102334-63-4 |
| 分子行输入简码 SMILES |
[C@H]1(NC(=O)[C@@H](NC(=O)[C@@H](N)CCC(=O)NCCCNC(=O)[C@@H](NC(=O)[C@@H](NC(=O)CNC1=O)C(CC)C)CCSC)CC2=CC=CC=C2)CC3=CC=CC=C3 |
| 国际化学标识码 InChI |
1S/C39H56N8O7S/c1-4-25(2)34-39(54)44-29(18-21-55-3)36(51)42-20-11-19-41-32(48)17-16-28(40)35(50)45-31(23-27-14-9-6-10-15-27)38(53)46-30(22-26-12-7-5-8-13-26)37(52)43-24-33(49)47-34/h5-10,12-15,25,28-31,34H,4,11,16-24,40H2,1-3H3,(H,41,48)(H,42,51)(H,43,52)(H,44,54)(H,45,50)(H,46,53)(H,47,49)/t25?,28-,29-,30-,31-,34-/m0/s1 |
| 国际化学标识检索码 InChIKey |
GEQVOAMRMGKWAX-ZJFASKHXSA-N |
|