基本信息
| 产品名称 |
(1S,3S,5Z,7R,8E,11S,12S,13E,15S,17R,21R,23R,25S)-25-(乙酰氧基)-1,11,21-三羟基-17-(1R)-1-羟基乙基-5,13-二(2-甲氧基-2-氧代乙亚基)-10,10,26,26-四甲基-19-氧代-18,27,28,29-四氧杂四环21.3.1.13,7.111,15二十九碳-8-烯-12-基-丁酸 |
| 英文名 |
(1S,3S,5Z,7R,8E,11S,12S,13E,15S,17R,21R,23R,25S)-25-(Acetyloxy)-1,11,21-Trihydroxy-17-(1R)-1-Hydroxyethyl-5,13-Bis(2-Methoxy-2-Oxoethylidene)-10,10,26,26-Tetramethyl-19-Oxo-18,27,28,29-Tetraoxatetracyclo21.3.1.13,7.111,15Nonacos-8-En-12-Yl-Butanoic Acid |
|
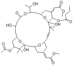
| 分子结构 |
 |
| 分子式 |
C43H64O17 |
| 分子量 |
852.97 |
| CAS 登录号 |
102604-78-4 |
| 分子行输入简码 SMILES |
C\4(C1(OC(C\C(C1OC(=O)CCC)=C\C(OC)=O)CC(OC(=O)CC(O)CC2OC(O)(C(C(OC(=O)C)C2)(C)C)CC3OC(CC(/C3)=C\C(OC)=O)\C=C4)C(O)C)O)(C)C |
| 国际化学标识码 InChI |
1S/C43H64O17/c1-10-11-35(47)58-39-27(18-37(49)54-9)17-30-21-33(24(2)44)57-38(50)20-28(46)19-31-22-34(55-25(3)45)41(6,7)42(51,59-31)23-32-15-26(16-36(48)53-8)14-29(56-32)12-13-40(4,5)43(39,52)60-30/h12-13,16,18,24,28-34,39,44,46,51-52H,10-11,14-15,17,19-23H2,1-9H3/b13-12-,26-16+,27-18- |
| 国际化学标识检索码 InChIKey |
LJHLORJKOHOIPQ-KAGVQMPYSA-N |
|