Online Database of Chemicals from Around the World

(3aS,4S,6R,6aS)-6-[(4R)-2,2-二甲基-1,3-二氧戊环-4-基]-N-羟基-2,2-二甲基四氢呋喃并[3,4-d][1,3]二氧杂环戊烯-4-胺
[CAS# 104320-20-9]

基本信息
产品名称 (3aS,4S,6R,6aS)-6-[(4R)-2,2-二甲基-1,3-二氧戊环-4-基]-N-羟基-2,2-二甲基四氢呋喃并[3,4-d][1,3]二氧杂环戊烯-4-胺
英文名 (3aS,4S,6R,6aS)-6-[(4R)-2,2-Dimethyl-1,3-Dioxolan-4-Yl]-N-Hydroxy-2,2-Dimethyltetrahydrofuro[3,4-d][1,3]Dioxol-4-Amine
别名 DIACETONEMANNOSEOXIME
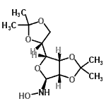
分子结构 CAS 登录号:104320-20-9, (3aS,4S,6R,6aS)-6-[(4R)-2,2-二甲基-1,3-二氧戊环-4-基]-N-羟基-2,2-二甲基四氢呋喃并[3,4-d][1,3]二氧杂环戊烯-4-胺
分子式 C12H21NO6
分子量 275.30
CAS 登录号 104320-20-9
分子行输入简码 SMILES O2[C@@H]([C@@H]1OC(O[C@@H]1[C@H]2NO)(C)C)[C@@H]3OC(OC3)(C)C
国际化学标识码 InChI 1S/C12H21NO6/c1-11(2)15-5-6(17-11)7-8-9(10(13-14)16-7)19-12(3,4)18-8/h6-10,13-14H,5H2,1-4H3/t6-,7-,8+,9+,10+/m1/s1
国际化学标识检索码 InChIKey FLWZKKRGBHCGBS-ZJDVBMNYSA-N
物理化学性质
密度 1.307g/cm3 (计算值)
沸点 383.008°C at 760 mmHg (计算值)
闪点 185.437°C (计算值)
折射率 1.532 (计算值)
市场分析报告
请浏览(3aS,4S,6R,6aS)-6-[(4R)-2,2-二甲基-1,3-二氧戊环-4-基]-N-羟基-2,2-二甲基四氢呋喃并[3,4-d][1,3]二氧杂环戊烯-4-胺市场分析报告总目录
相关产品
甲基(4R,5R)-5-甲基-4,5-二氢-1,3...  (2R)-2-(苄氧基)-2-[(4S)-2,2-...  (4R)-4-苄基-3-(异硫氰酸基乙酰基)-1,...  3-(氯甲基)喹啉  4-(三氟甲基)烟酰氯  4-[(E)-2-氨基乙烯基]-2,3-二氢-2-...  二锂3,4-二氧代-1-环丁烯-1,2-二醇  (4R,5R)-2-甲基-2-苯基-1,3-二氧戊...  2,3,4,9-四氢-1H-咔唑-5,6-二酮  1,7-二甲基-2-氧代-1,2-二氢-4-喹啉甲...  1-异丙基-2,6-二甲基-4(1H)-吡啶酮  1,7-二甲基双环[2.2.1]庚烷-7-甲酰氯  2,3,4,9-四氢-1H-咔唑-6,7-二酮  6-异丙基-4,5-二甲基-2(1H)-吡啶酮  N-1,3-苯并噻唑-2-基-N-甲基甘氨酸