Online Database of Chemicals from Around the World

(3R)-9-[(2R,4R,5R,6R)-4-[(2S,5S,6S)-5-[(2S,4R,5S,6R)-4,5-二羟基-6-甲基四氢吡喃-2-基]氧基-6-甲基四氢吡喃-2-基]氧基-5-羟基-6-甲基四氢吡喃-2-基]-3,8-二羟基-3-甲基-2,4-二氢苯并[b]菲-1,7,12-三酮
[CAS# 104542-46-3]

供应商
CAS#: 104542-46-3
产品: (3R)-9-[(2R,4R,5R,6R)-4-[(2S,5S,6S)-5-[(2S,4R,5S,6R)-4,5-二羟基-6-甲基四氢吡喃-2-基]氧基-6-甲基四氢吡喃-2-基]氧基-5-羟基-6-甲基四氢吡喃-2-基]-3,8-二羟基-3-甲基-2,4-二氢苯并[b]菲-1,7,12-三酮
暂时没有厂家供应该产品。
基本信息
产品名称 (3R)-9-[(2R,4R,5R,6R)-4-[(2S,5S,6S)-5-[(2S,4R,5S,6R)-4,5-二羟基-6-甲基四氢吡喃-2-基]氧基-6-甲基四氢吡喃-2-基]氧基-5-羟基-6-甲基四氢吡喃-2-基]-3,8-二羟基-3-甲基-2,4-二氢苯并[b]菲-1,7,12-三酮
英文名 (3R)-9-[(2R,4R,5R,6R)-4-[(2S,5S,6S)-5-[(2S,4R,5S,6R)-4,5-Dihydroxy-6-Methyloxan-2-Yl]Oxy-6-Methyloxan-2-Yl]Oxy-5-Hydroxy-6-Methyloxan-2-Yl]-3,8-Dihydroxy-3-Methyl-2,4-Dihydrobenzo[b]Phenanthrene-1,7,12-Trione
别名 (3R)-9-[(2R,4R,5R,6R)-4-[(2S,5S,6S)-5-[(2S,4R,5S,6R)-4,5-Dihydroxy-6-Methyl-Tetrahydropyran-2-Yl]Oxy-6-Methyl-Tetrahydropyran-2-Yl]Oxy-5-Hydroxy-6-Methyl-Tetrahydropyran-2-Yl]-3,8-Dihydroxy-3-Methyl-2,4-Dihydrobenzo[B]Phenanthrene-1,7,12-Trione; (3R)-9-[(2R,4R,5R,6R)-4-[[(2S,5S,6S)-5-[[(2S,4R,5S,6R)-4,5-Dihydroxy-6-Methyl-2-Tetrahydropyranyl]Oxy]-6-Methyl-2-Tetrahydropyranyl]Oxy]-5-Hydroxy-6-Methyl-2-Tetrahydropyranyl]-3,8-Dihydroxy-3-Methyl-2,4-Dihydrobenzo[B]Phenanthrene-1,7,12-Trione; (3R)-9-[(2R,4R,5R,6R)-4-[(2S,5S,6S)-5-[(2S,4R,5S,6R)-4,5-Dihydroxy-6-Methyl-Oxan-2-Yl]Oxy-6-Methyl-Oxan-2-Yl]Oxy-5-Hydroxy-6-Methyl-Oxan-2-Yl]-3,8-Dihydroxy-3-Methyl-2,4-Dihydrobenzo[B]Phenanthrene-1,7,12-Trione
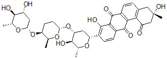
分子结构 CAS 登录号:104542-46-3, (3R)-9-[(2R,4R,5R,6R)-4-[(2S,5S,6S)-5-[(2S,4R,5S,6R)-4,5-二羟基-6-甲基四氢吡喃-2-基]氧基-6-甲基四氢吡喃-2-基]氧基-5-羟基-6-甲基四氢吡喃-2-基]-3,8-二羟基-3-甲基-2,4-二氢苯并[b]菲-1,7,12-三酮
分子式 C37H44O13
分子量 696.75
CAS 登录号 104542-46-3
分子行输入简码 SMILES [C@]7(O)(CC6=C(C1=C(C(=O)C2=C(C1=O)C=CC(=C2O)[C@@H]5O[C@@H]([C@@H](O)[C@H](O[C@@H]4O[C@H]([C@@H](O[C@@H]3O[C@@H]([C@@H](O)[C@H](O)C3)C)CC4)C)C5)C)C=C6)C(=O)C7)C
国际化学标识码 InChI 1S/C37H44O13/c1-15-24(49-28-11-22(38)32(40)16(2)48-28)9-10-27(47-15)50-26-12-25(46-17(3)33(26)41)19-7-8-21-31(34(19)42)36(44)20-6-5-18-13-37(4,45)14-23(39)29(18)30(20)35(21)43/h5-8,15-17,22,24-28,32-33,38,40-42,45H,9-14H2,1-4H3/t15-,16+,17+,22+,24-,25+,26+,27-,28-,32+,33+,37+/m0/s1
国际化学标识检索码 InChIKey RVYIFZVNJLDNAV-VSYBRGMMSA-N
物理化学性质
密度 1.477g/cm3 (计算值)
沸点 899.411°C at 760 mmHg (计算值)
闪点 280.592°C (计算值)
市场分析报告
请浏览(3R)-9-[(2R,4R,5R,6R)-4-[(2S,5S,6S)-5-[(2S,4R,5S,6R)-4,5-二羟基-6-甲基四氢吡喃-2-基]氧基-6-甲基四氢吡喃-2-基]氧基-5-羟基-6-甲基四氢吡喃-2-基]-3,8-二羟基-3-甲基-2,4-二氢苯并[b]菲-1,7,12-三酮市场分析报告总目录
相关产品
乌达霉素-E  乙基2-[(1E,3E,5E)-7-乙氧基-3-甲...  1,2,3,4-四溴二苯并二恶因  1-溴-2,3,7,8-四氯二苯并呋喃  4-[(4-氯苯基)氨基]-1-(苯基甲基)哌啶-...  2-(5-硝基噻吩-3-基)丙二酸  4-甲硫基二甲基色胺  7-[(E)-1-[4-(羟基甲基)苯基]丙-1-...  乌达霉素F  17,20-二羟基-4-孕烯-3-酮  2-(3,5-二溴-4-羟基苯基)-6-羟基-3-...  (2S)-2-氨基-5-[(2,4-二硝基苯基)氨...  2-(4-氟苯基)-1,4-二甲基-5-硝基咪唑  4-氟-1,2-二甲基-5-硝基咪唑  4-氟-1-甲基-5-硝基咪唑