Online Database of Chemicals from Around the World

伪枝藻素A
[CAS# 104653-87-4]

供应商
CAS#: 104653-87-4
产品: 伪枝藻素A
暂时没有厂家供应该产品。
基本信息
产品名称 伪枝藻素A
英文名 Scytophycin A
别名 N-[(E,3R,4R,5S,9R,10S,11S)-6,10-Dihydroxy-11-[(1S,3S,5S,7R,8S,12Z,14Z,17S,19R)-17-Hydroxy-3,5,7-Trimethoxy-8,14-Dimethyl-11-Oxo-Spiro[10,23-Dioxabicyclo[17.3.1]Tricosa-12,14,20-Triene-4,2'-Oxirane]-9-Yl]-4-Methoxy-3,5,9-Trimethyl-Dodec-1-Enyl]-N-Methyl-Formamide; N-[(E,3R,4R,5S,9R,10S,11S)-6,10-Dihydroxy-11-[(1S,3S,5S,7R,8S,12Z,14Z,17S,19R)-17-Hydroxy-3,5,7-Trimethoxy-8,14-Dimethyl-11-Oxo-9-Spiro[10,23-Dioxabicyclo[17.3.1]Tricosa-12,14,20-Triene-4,2'-Oxirane]Yl]-4-Methoxy-3,5,9-Trimethyldodec-1-Enyl]-N-Methylformamide; N-[(E,3R,4R,5S,9R,10S,11S)-6,10-Dihydroxy-11-[(1S,3S,5S,7R,8S,12Z,14Z,17S,19R)-17-Hydroxy-11-Keto-3,5,7-Trimethoxy-8,14-Dimethyl-Spiro[10,23-Dioxabicyclo[17.3.1]Tricosa-12,14,20-Triene-4,2'-Oxirane]-9-Yl]-4-Methoxy-3,5,9-Trimethyl-Dodec-1-Enyl]-N-Methyl-Formamide
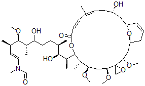
分子结构 CAS 登录号:104653-87-4, 伪枝藻素A
分子式 C45H75NO12
分子量 822.09
CAS 登录号 104653-87-4
分子行输入简码 SMILES [C@@H]2(OC)C1(OC1)[C@@H](OC)C[C@@H](OC)[C@@H](C(OC(=O)\C=C/C(=C\C[C@H](O)C[C@H]3O[C@H](C2)CC=C3)C)[C@H]([C@@H](O)[C@@H](CCC(O)[C@@H]([C@H](OC)[C@@H](\C=C\N(C=O)C)C)C)C)C)C
国际化学标识码 InChI 1S/C45H75NO12/c1-28-15-18-34(48)23-35-13-12-14-36(57-35)24-39(53-9)45(26-56-45)40(54-10)25-38(52-8)32(5)44(58-41(50)20-16-28)33(6)42(51)29(2)17-19-37(49)31(4)43(55-11)30(3)21-22-46(7)27-47/h12-13,15-16,20-22,27,29-40,42-44,48-49,51H,14,17-19,23-26H2,1-11H3/b20-16-,22-21+,28-15-/t29-,30-,31+,32+,33+,34+,35+,36+,37?,38-,39+,40+,42+,43-,44?,45?/m1/s1
国际化学标识检索码 InChIKey CYZZFSCFKCNCLO-XPIRJXRNSA-N
市场分析报告
请浏览伪枝藻素A市场分析报告总目录
相关产品
Fusarochromanone  3-(4-氯苯基)苯并吡喃-2-酮  2-硝基蒽并(2,1-b)呋喃  2-硝基蒽并(1,2-b)呋喃  二硝基苯基-gamma-氨基-N-丁酸  6,7-二甲氧基-4-(4'-氨基-3'-碘苄基)...  4-氨基-3,5-二氯苯基-4-((2,3,4-三...  2,6-二氯-4-[2-[4-[(2,3,4-三甲...  [(2R)-1-[2-(棕榈酰氨基)乙氧基-羟基磷...  9-(苯基甲基氨基)-1,2,3,4-四氢吖啶-1...  2-(5-甲基噻吩-3-基)-1H-吡唑并[4,5...  二油酸镉  Methoxymecambridine  3-[4-[4-(3-甲基苯基)哌嗪-1-基]丁基...  3,4-二氢-2,5,8-三甲基-1(2H)-萘酮