Online Database of Chemicals from Around the World

Lustromycin
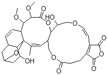
[CAS# 105156-68-1]

Suppliers
CAS#: 105156-68-1
Product: Lustromycin
No suppilers available for the product.
Identification
Name Lustromycin
Molecular Structure CAS#: 105156-68-1, Lustromycin
Molecular Formula C32H38O13
Molecular Weight 630.64
CAS Registry Number 105156-68-1
SMILES C\C1=C/C6C(OC(=O)C(OC)C(OC)C4C12OC3CC(C2C(O)C3)C=C4)C(O)CO/C=C/C5=C(C(OC5=O)=O)CCC(OC6)=O
InChI 1S/C32H38O13/c1-15-10-17-13-42-24(35)7-5-19-20(30(37)44-29(19)36)8-9-41-14-23(34)26(17)43-31(38)28(40-3)27(39-2)21-6-4-16-11-18-12-22(33)25(16)32(15,21)45-18/h4,6,8-10,16-18,21-23,25-28,33-34H,5,7,11-14H2,1-3H3/b9-8+,15-10+
InChIKey FDSONACTBUTSIH-RQADFKIXSA-N
Market Analysis Reports
List of Reports Available for Lustromycin
Related Products
3-[[N-(3-Hydroxy-2,4,6-Triiodophenyl)-N-...  Rhodium(II) formamidinate  [(8R,9S,10R,13S,14S,17S)-10,13-Dimethyl-...  [(1R,3aS,3bR,9aR,9bS,11aS)-1-Acetyl-5-Ch...  2,4,6,7-Tetramethyl-2-(4,8,12-Trimethylt...  [(2R)-3-[Hydroxy-[(2R,3R,5S,6R)-2,3,4,5,...  1,3-Diaminopropane Dihydrochloride  1-[4-(Hydroxyamino)Phenyl]-Ethanone  2-Amino-alpha-Methylbenzyl Alcohol  2-(2-Cyanophenyl)Acetophenone  Technetium (Z)-4-Oxopent-2-En-2-Olate  N,N,N',N'-Tetraethylbut-2-Ene-1,4-Diamin...  N,N,N',N'-Tetraethylbut-2-Yne-1,4-Diamin...  S-[2-[3-[[4-[[[5-(6-Aminopurin-9-Yl)-4-H...  (3aS,9aS)-8-Fluoro-2,3,3a,9a-Tetrahydro-...