Online Database of Chemicals from Around the World

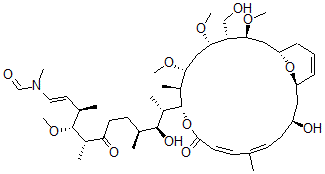
N-[(E,3R,4R,5R,9S,10S,11S)-10-羟基-11-[(1S,3S,4R,5S,7R,8S,9R,12E,14E,17S,19R)-17-羟基-4-(羟基甲基)-3,5,7-三甲氧基-8,14-二甲基-11-氧代-10,23-二氧杂双环[17.3.1]二十三碳-12,14,20-三烯-9-基]-4-甲氧基-3,5,9-三甲基-6-氧代十二碳-1-烯基]-N-甲基甲酰胺
[CAS# 105694-32-4]

供应商
CAS#: 105694-32-4
产品: N-[(E,3R,4R,5R,9S,10S,11S)-10-羟基-11-[(1S,3S,4R,5S,7R,8S,9R,12E,14E,17S,19R)-17-羟基-4-(羟基甲基)-3,5,7-三甲氧基-8,14-二甲基-11-氧代-10,23-二氧杂双环[17.3.1]二十三碳-12,14,20-三烯-9-基]-4-甲氧基-3,5,9-三甲基-6-氧代十二碳-1-烯基]-N-甲基甲酰胺
暂时没有厂家供应该产品。
基本信息
产品名称 N-[(E,3R,4R,5R,9S,10S,11S)-10-羟基-11-[(1S,3S,4R,5S,7R,8S,9R,12E,14E,17S,19R)-17-羟基-4-(羟基甲基)-3,5,7-三甲氧基-8,14-二甲基-11-氧代-10,23-二氧杂双环[17.3.1]二十三碳-12,14,20-三烯-9-基]-4-甲氧基-3,5,9-三甲基-6-氧代十二碳-1-烯基]-N-甲基甲酰胺
英文名 N-[(E,3R,4R,5R,9S,10S,11S)-10-Hydroxy-11-[(1S,3S,4R,5S,7R,8S,9R,12E,14E,17S,19R)-17-Hydroxy-4-(Hydroxymethyl)-3,5,7-Trimethoxy-8,14-Dimethyl-11-Oxo-10,23-Dioxabicyclo[17.3.1]Tricosa-12,14,20-Trien-9-Yl]-4-Methoxy-3,5,9-Trimethyl-6-Oxododec-1-Enyl]-N-Methylformamide
别名 N-[(E,3R,4R,5R,9S,10S,11S)-10-Hydroxy-11-[(1S,3S,4R,5S,7R,8S,9R,12E,14E,17S,19R)-17-Hydroxy-4-(Hydroxymethyl)-3,5,7-Trimethoxy-8,14-Dimethyl-11-Oxo-10,23-Dioxabicyclo[17.3.1]Tricosa-12,14,20-Trien-9-Yl]-4-Methoxy-3,5,9-Trimethyl-6-Oxo-Dodec-1-Enyl]-N-Methyl-Formamide; N-[(E,3R,4R,5R,9S,10S,11S)-10-Hydroxy-11-[(1S,3S,4R,5S,7R,8S,9R,12E,14E,17S,19R)-17-Hydroxy-11-Keto-3,5,7-Trimethoxy-8,14-Dimethyl-4-Methylol-10,23-Dioxabicyclo[17.3.1]Tricosa-12,14,20-Trien-9-Yl]-6-Keto-4-Methoxy-3,5,9-Trimethyl-Dodec-1-Enyl]-N-Methyl-Formamide; N-[(E,3R,4R,5R,9S,10S,11S)-10-Hydroxy-11-[(1S,3S,4R,5S,7R,8S,9R,12E,14E,17S,19R)-17-Hydroxy-4-(Hydroxymethyl)-3,5,7-Trimethoxy-8,14-Dimethyl-11-Oxo-10,23-Dioxabicyclo[17.3.1]Tricosa-12,14,20-Trien-9-Yl]-4-Methoxy-3,5,9-Trimethyl-6-Oxo-Dodec-1-Enyl]-N-Methyl-Methanamide
分子结构 CAS 登录号:105694-32-4, N-[(E,3R,4R,5R,9S,10S,11S)-10-羟基-11-[(1S,3S,4R,5S,7R,8S,9R,12E,14E,17S,19R)-17-羟基-4-(羟基甲基)-3,5,7-三甲氧基-8,14-二甲基-11-氧代-10,23-二氧杂双环[17.3.1]二十三碳-12,14,20-三烯-9-基]-4-甲氧基-3,5,9-三甲基-6-氧代十二碳-1-烯基]-N-甲基甲酰胺
分子式 C45H75NO12
分子量 822.09
CAS 登录号 105694-32-4
分子行输入简码 SMILES [C@@H]1([C@H]([C@H]([C@H](CCC([C@@H]([C@@H]([C@@H](/C=C/N(C=O)C)C)OC)C)=O)C)O)C)[C@H]([C@@H](C[C@@H]([C@@H]([C@H](C[C@H]2O[C@H](C[C@H](C\C=C(\C=C\C(O1)=O)C)O)C=CC2)OC)CO)OC)OC)C
国际化学标识码 InChI 1S/C45H75NO12/c1-28-15-18-34(49)23-35-13-12-14-36(57-35)24-40(54-9)37(26-47)41(55-10)25-39(53-8)32(5)45(58-42(51)20-16-28)33(6)43(52)29(2)17-19-38(50)31(4)44(56-11)30(3)21-22-46(7)27-48/h12-13,15-16,20-22,27,29-37,39-41,43-45,47,49,52H,14,17-19,23-26H2,1-11H3/b20-16+,22-21+,28-15+/t29-,30+,31-,32-,33-,34-,35-,36-,37+,39+,40-,41-,43-,44+,45-/m0/s1
国际化学标识检索码 InChIKey DSHVEBDLSYMWSX-MRGDGBMUSA-N
物理化学性质
密度 1.129g/cm3 (计算值)
沸点 907.887°C at 760 mmHg (计算值)
闪点 502.872°C (计算值)
市场分析报告
请浏览N-[(E,3R,4R,5R,9S,10S,11S)-10-羟基-11-[(1S,3S,4R,5S,7R,8S,9R,12E,14E,17S,19R)-17-羟基-4-(羟基甲基)-3,5,7-三甲氧基-8,14-二甲基-11-氧代-10,23-二氧杂双环[17.3.1]二十三碳-12,14,20-三烯-9-基]-4-甲氧基-3,5,9-三甲基-6-氧代十二碳-1-烯基]-N-甲基甲酰胺市场分析报告总目录
相关产品
3-氧代-4,5,6,7-四氢-[1,2]恶唑并[...  3-氧代-4,5,6,7-四氢-[1,2]恶唑并[...  (3-乙酰氧基-2-羟基丙基)乙酸酯  二甲基(4-甲氧基苯基氧代甲基)膦酸酯  Yanangine  4-环己基-2,6-二甲苯酚  1-[(3S,4R,5S)-4,5-二甲基-2-氧...  [(2R,5R,8aR)-5,8alpha-二甲基...  3-乙酰氧基-3,4-二氢环戊烯并(Cd)芘  4-乙酰氧基-3,4-二氢环戊烯并(Cd)芘  6-羟基甲基蒽嵌蒽  3-[(3-甲氧基-3-氧代丙基)-甲基氨基]丙酸...  尼可氯酯  环美碘酚  2-丁酰基氧基乙基丁酸酯