Online Database of Chemicals from Around the World

叔-丁基氧羰基-氨基异丁酰基-缬氨酰-氨基异丁酰基-氨基异丁酰基-缬氨酰-缬氨酰-缬氨酰-氨基异丁酰基-缬氨酰-氨基异丁酸甲酯
[CAS# 106777-22-4]

供应商
CAS#: 106777-22-4
产品: 叔-丁基氧羰基-氨基异丁酰基-缬氨酰-氨基异丁酰基-氨基异丁酰基-缬氨酰-缬氨酰-缬氨酰-氨基异丁酰基-缬氨酰-氨基异丁酸甲酯
暂时没有厂家供应该产品。
基本信息
产品名称 叔-丁基氧羰基-氨基异丁酰基-缬氨酰-氨基异丁酰基-氨基异丁酰基-缬氨酰-缬氨酰-缬氨酰-氨基异丁酰基-缬氨酰-氨基异丁酸甲酯
英文名 tert-Butyloxycarbonyl-aminoisobutyryl-valyl-aminoisobutyryl-aminoisobutyryl-valyl-valyl-valyl-aminoisobutyryl-valyl-aminoisobutyryl methyl ester
别名 Methyl 2-[[(2S)-2-[[2-[[(2S)-2-[[(2S)-2-[[(2S)-2-[[2-[[2-[[(2S)-2-[[2-(Tert-Butoxycarbonylamino)-2-Methyl-Propanoyl]Amino]-3-Methyl-Butanoyl]Amino]-2-Methyl-Propanoyl]Amino]-2-Methyl-Propanoyl]Amino]-3-Methyl-Butanoyl]Amino]-3-Methyl-Butanoyl]Amino]-3-Methyl-Butanoyl]Amino]-2-Methyl-Propanoyl]Amino]-3-Methyl-Butanoyl]Amino]-2-Methyl-Propanoate; 2-[[(2S)-2-[[2-[[(2S)-2-[[(2S)-2-[[(2S)-2-[[2-[[2-[[(2S)-2-[[2-[(Tert-Butoxy-Oxomethyl)Amino]-2-Methyl-1-Oxopropyl]Amino]-3-Methyl-1-Oxobutyl]Amino]-2-Methyl-1-Oxopropyl]Amino]-2-Methyl-1-Oxopropyl]Amino]-3-Methyl-1-Oxobutyl]Amino]-3-Methyl-1-Oxobutyl]Amino]-3-Methyl-1-Oxobutyl]Amino]-2-Methyl-1-Oxopropyl]Amino]-3-Methyl-1-Oxobutyl]Amino]-2-Methylpropanoic Acid Methyl Ester; 2-[[(2S)-2-[[2-[[(2S)-2-[[(2S)-2-[[(2S)-2-[[2-[[2-[[(2S)-2-[[2-(Tert-Butoxycarbonylamino)-2-Methyl-Propanoyl]Amino]-3-Methyl-Butanoyl]Amino]-2-Methyl-Propanoyl]Amino]-2-Methyl-Propanoyl]Amino]-3-Methyl-Butanoyl]Amino]-3-Methyl-Butanoyl]Amino]-3-Methyl-Butanoyl]Amino]-2-Methyl-Propanoyl]Amino]-3-Methyl-Butanoyl]Amino]-2-Methyl-Propionic Acid Methyl Ester
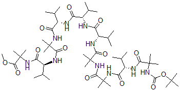
分子结构 CAS 登录号:106777-22-4, 叔-丁基氧羰基-氨基异丁酰基-缬氨酰-氨基异丁酰基-氨基异丁酰基-缬氨酰-缬氨酰-缬氨酰-氨基异丁酰基-缬氨酰-氨基异丁酸甲酯
分子式 C51H92N10O13
分子量 1053.35
CAS 登录号 106777-22-4
分子行输入简码 SMILES [C@H](C(NC(C(=O)OC)(C)C)=O)(NC(C(NC([C@@H](NC([C@@H](NC([C@@H](NC(C(NC(C(NC([C@@H](NC(C(NC(=O)OC(C)(C)C)(C)C)=O)C(C)C)=O)(C)C)=O)(C)C)=O)C(C)C)=O)C(C)C)=O)C(C)C)=O)(C)C)=O)C(C)C
国际化学标识码 InChI 1S/C51H92N10O13/c1-25(2)30(35(62)53-32(27(5)6)37(64)57-47(14,15)40(67)55-34(29(9)10)39(66)59-51(22,23)44(71)73-24)52-36(63)31(26(3)4)54-41(68)48(16,17)60-43(70)50(20,21)58-38(65)33(28(7)8)56-42(69)49(18,19)61-45(72)74-46(11,12)13/h25-34H,1-24H3,(H,52,63)(H,53,62)(H,54,68)(H,55,67)(H,56,69)(H,57,64)(H,58,65)(H,59,66)(H,60,70)(H,61,72)/t30-,31-,32-,33-,34-/m0/s1
国际化学标识检索码 InChIKey YDLOIAXXVVOSFD-LJADHVKFSA-N
物理化学性质
密度 1.116g/cm3 (计算值)
沸点 1228.946°C at 760 mmHg (计算值)
闪点 697.042°C (计算值)
市场分析报告
请浏览叔-丁基氧羰基-氨基异丁酰基-缬氨酰-氨基异丁酰基-氨基异丁酰基-缬氨酰-缬氨酰-缬氨酰-氨基异丁酰基-缬氨酰-氨基异丁酸甲酯市场分析报告总目录
相关产品
1-[2-(1,3-二氧戊环-2-基)乙基]-4-...  4-二乙氧基磷酰基丁烷-2-酮  N-(2-二乙基氨基乙基)-4-碘苯甲酰胺  1-(2-氟苯基)环己烷-1-甲腈  三(3-氯丙基)磷酸酯  4-(二乙氧基-甲基硅烷基)丁腈  (2R)-2-[(2R,5S,6R)-6-[(3E...  1-二乙氧基磷酰基辛烷  [(5R,7R,8R,9R,10S,11R,13S...  1,3-二[8-[3-(2-乙酰氧基辛基)环氧乙烷...  15-羟基二氢贝壳杉烯酸甲酯  二[3-[6,7,8-三甲氧基-2-甲基-1-[(...  9,21-Didehydroryanodol  (氨基-乙氧基磷酰)氧基乙烷  5-氯-2-[(2R,3R,4S,5R)-3,4-...