Online Database of Chemicals from Around the World

(1S,3S,5Z,7R,8E,11R,13E,15S,17R,21R,23R,25S)-1,11,21-三羟基-17-[(1R)-1-羟基乙基]-5,13-二(2-甲氧基-2-氧代乙亚基)-10,10,26,26-四甲基-19-氧代-18,27,28,29-四氧杂四环[21.3.1.13,7.111,15]二十九碳-8-烯-25-基丁酸酯
[CAS# 107021-11-4]

供应商
CAS#: 107021-11-4
产品: (1S,3S,5Z,7R,8E,11R,13E,15S,17R,21R,23R,25S)-1,11,21-三羟基-17-[(1R)-1-羟基乙基]-5,13-二(2-甲氧基-2-氧代乙亚基)-10,10,26,26-四甲基-19-氧代-18,27,28,29-四氧杂四环[21.3.1.13,7.111,15]二十九碳-8-烯-25-基丁酸酯
暂时没有厂家供应该产品。
基本信息
产品名称 (1S,3S,5Z,7R,8E,11R,13E,15S,17R,21R,23R,25S)-1,11,21-三羟基-17-[(1R)-1-羟基乙基]-5,13-二(2-甲氧基-2-氧代乙亚基)-10,10,26,26-四甲基-19-氧代-18,27,28,29-四氧杂四环[21.3.1.13,7.111,15]二十九碳-8-烯-25-基丁酸酯
英文名 Butanoic acid, (1S,3S,5Z,7R,8E,11R,13E,15S,17R,21R,23R,25S)-1,11,21-trihydroxy-17-[(1R)-1-hydroxyethyl]-5,13-bis(2-methoxy-2-oxoethylidene)-10,10,26,26-tetramethyl-19-oxo-18,27,28,29-tetraoxatetracyclo[21.3.1.13,7.111,15]nonacos-8-en-25-yl ester
别名 Aids-001550; Aids001550; Butanoic Acid, (1S,3S,5Z,7R,8E,11R,13E,15S,17R,21R,23R,25S)-1,11,21-Trihydroxy-17-[(1R)-1-Hydroxyethyl]-5,13-Bis(2-Methoxy-2-Oxoethylidene)-10,10,26,26-Tetramethyl-19-Oxo-18,27,28,29-Tetraoxatetracyclo[21.3.1.13,7.111,15]Nonacos-8-En-25-Yl Ester
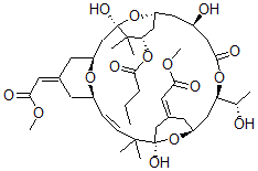
分子结构 CAS 登录号:107021-11-4, (1S,3S,5Z,7R,8E,11R,13E,15S,17R,21R,23R,25S)-1,11,21-三羟基-17-[(1R)-1-羟基乙基]-5,13-二(2-甲氧基-2-氧代乙亚基)-10,10,26,26-四甲基-19-氧代-18,27,28,29-四氧杂四环[21.3.1.13,7.111,15]二十九碳-8-烯-25-基丁酸酯
分子式 C41H62O15
分子量 794.93
CAS 登录号 107021-11-4
分子行输入简码 SMILES [C@@]12(C([C@@H](OC(=O)CCC)C[C@H](O1)C[C@H](CC(O[C@H](C[C@@H]4CC(\C[C@](C(\C=C\[C@@H]3O[C@H](C2)C/C(=C/C(=O)OC)C3)(C)C)(O4)O)=C/C(=O)OC)[C@@H](O)C)=O)O)(C)C)O
国际化学标识码 InChI 1S/C41H62O15/c1-9-10-34(44)54-33-21-30-18-27(43)19-37(47)53-32(24(2)42)20-29-15-26(17-36(46)51-8)22-40(48,55-29)38(3,4)12-11-28-13-25(16-35(45)50-7)14-31(52-28)23-41(49,56-30)39(33,5)6/h11-12,16-17,24,27-33,42-43,48-49H,9-10,13-15,18-23H2,1-8H3/b12-11+,25-16+,26-17+/t24-,27+,28-,29-,30+,31-,32+,33-,40+,41-/m0/s1
国际化学标识检索码 InChIKey UYHQBUSZLQOCRF-OYLGSXELSA-N
物理化学性质
密度 1.274g/cm3 (计算值)
沸点 888.727°C at 760 mmHg (计算值)
闪点 259.855°C (计算值)
市场分析报告
请浏览(1S,3S,5Z,7R,8E,11R,13E,15S,17R,21R,23R,25S)-1,11,21-三羟基-17-[(1R)-1-羟基乙基]-5,13-二(2-甲氧基-2-氧代乙亚基)-10,10,26,26-四甲基-19-氧代-18,27,28,29-四氧杂四环[21.3.1.13,7.111,15]二十九碳-8-烯-25-基丁酸酯市场分析报告总目录
相关产品
1-(6-氨基嘌呤-9-基)丙-2-基氧基甲基膦酸  [4-(4-氨基-6,7-二甲氧基喹唑啉-2-基)...  2-[(4-氯苯基)甲基]-3,3-二甲基-1-(...  (2S,3R)-3-(2-羧基乙基硫基)-2-羟基...  2-[4-(4-氟苯甲酰)哌啶-1-基]-1-萘-...  3-甲基庚烷-1-醇  5-[3-(2-羧基-4-氧代苯并吡喃-5-基)氧...  1-甲基-5-苯基-2,3,4,4a,5,9b-六...  5-苯基-1-丙基-2,3,4,4a,5,9b-六...  4-(2,3,4,4a,5,9b-六氢-1H-茚并...  (4aS,5R,9bS)-1-甲基-5-苯基-2,...  6,6-二-O-alpha-麦芽糖基beta-环糊...  4-氨基-1-[(2R,5S)-5-(羟基甲基)四...  4-氨基-5-氟-1-[(2R,5S)-5-(羟基...  二(2-氯乙基)亚磷酸氢酯