Online Database of Chemicals from Around the World

De-ile(1)-de-asn(2)-mastoparan
[CAS# 107048-32-8]

Suppliers
CAS#: 107048-32-8
Product: De-ile(1)-de-asn(2)-mastoparan
No suppilers available for the product.
Identification
Name De-ile(1)-de-asn(2)-mastoparan
Synonyms (2S)-6-Amino-2-[[6-Amino-2-[[(2S)-2-[[(2S)-2-[[(2S)-2-[[(2S)-2-[[(2S)-2-[[(2S)-2-[[(2S)-6-Amino-2-[[(2S)-2-Amino-4-Methyl-Pentanoyl]Amino]Hexanoyl]Amino]Propanoyl]Amino]-4-Methyl-Pentanoyl]Amino]Propanoyl]Amino]Propanoyl]Amino]-4-Methyl-Pentanoyl]Amino]Propanoyl]Amino]Hexanoyl]Amino]-N-[(1S,2S)-1-[[(1S)-1-Carbamoyl-3-Methyl-Butyl]Carbamoyl]-2-Methyl-Butyl]Hexanamide; (2S)-6-Amino-2-[[6-Amino-2-[[(2S)-2-[[(2S)-2-[[(2S)-2-[[(2S)-2-[[(2S)-2-[[(2S)-2-[[(2S)-6-Amino-2-[[(2S)-2-Amino-4-Methyl-1-Oxopentyl]Amino]-1-Oxohexyl]Amino]-1-Oxopropyl]Amino]-4-Methyl-1-Oxopentyl]Amino]-1-Oxopropyl]Amino]-1-Oxopropyl]Amino]-4-Methyl-1-Oxopentyl]Amino]-1-Oxopropyl]Amino]-1-Oxohexyl]Amino]-N-[(1S,2S)-1-[[[(1S)-1-Carbamoyl-3-Methylbutyl]Amino]-Oxomethyl]-2-Methylbutyl]Hexanamide; (2S)-6-Amino-2-[[6-Amino-2-[[(2S)-2-[[(2S)-2-[[(2S)-2-[[(2S)-2-[[(2S)-2-[[(2S)-2-[[(2S)-6-Amino-2-[[(2S)-2-Amino-4-Methyl-Pentanoyl]Amino]Hexanoyl]Amino]Propanoyl]Amino]-4-Methyl-Pentanoyl]Amino]Propanoyl]Amino]Propanoyl]Amino]-4-Methyl-Pentanoyl]Amino]Propanoyl]Amino]Hexanoyl]Amino]-N-[(2S,3S)-1-[[(2S)-1-Amino-4-Methyl-1-Oxo-Pentan-2-Yl]Amino]-3-Methyl-1-Oxo-Pentan-2-Yl]Hexanamide
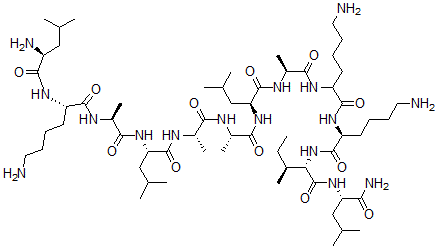
Molecular Structure CAS#: 107048-32-8, De-ile(1)-de-asn(2)-mastoparan
Molecular Formula C60H114N16O12
Molecular Weight 1251.66
CAS Registry Number 107048-32-8
SMILES [C@@H](NC(=O)[C@@H](NC(=O)C(NC(=O)[C@@H](NC(=O)[C@@H](NC(=O)[C@@H](NC(=O)[C@@H](NC(=O)[C@@H](NC(=O)[C@@H](NC(=O)[C@@H](NC(=O)[C@@H](N)CC(C)C)CCCCN)C)CC(C)C)C)C)CC(C)C)C)CCCCN)CCCCN)(C(=O)N[C@H](C(=O)N)CC(C)C)[C@H](CC)C
InChI 1S/C60H114N16O12/c1-15-36(10)48(60(88)73-45(49(65)77)29-33(4)5)76-57(85)44(24-18-21-27-63)72-56(84)43(23-17-20-26-62)70-51(79)39(13)69-59(87)47(31-35(8)9)74-52(80)38(12)66-50(78)37(11)68-58(86)46(30-34(6)7)75-53(81)40(14)67-55(83)42(22-16-19-25-61)71-54(82)41(64)28-32(2)3/h32-48H,15-31,61-64H2,1-14H3,(H2,65,77)(H,66,78)(H,67,83)(H,68,86)(H,69,87)(H,70,79)(H,71,82)(H,72,84)(H,73,88)(H,74,80)(H,75,81)(H,76,85)/t36-,37-,38-,39-,40-,41-,42-,43?,44-,45-,46-,47-,48-/m0/s1
InChIKey YMMUNCDECKRLBO-NDUJRAGXSA-N
Properties
Density 1.132g/cm3 (Cal.)
Boiling point 1492.206°C at 760 mmHg (Cal.)
Flash point 856.255°C (Cal.)
Market Analysis Reports
List of Reports Available for De-ile(1)-de-asn(2)-mastoparan
Related Products
4-(((8beta)-9,10-Didehydro-6-Methylergol...  Pyrophosphate-bidentate rhodium complex  2-[2-(6-Aminopurin-9-Yl)Ethylidene]Propa...  Ethyl 8-Chloro-6-Hydroxyoctanoate  2-Methylidenehexanal  Dilithium Acetylide  1-[3-(4-Azido-3-Iodophenyl)Propanoyl]Pyr...  2,2,4,4-Tetramethylpentane  5beta-Cholestane-3alpha,7alpha,26,27-tet...  Cholestane-3,7,24,26-tetrol  10-[3-[4-(2-Hydroxyethyl)Piperazin-1-Yl]...  3-Chloro-4-Ethylbenzo[E][1,2,4]Thiadiazi...  Trimethyl-Trimethylstannylsulfanylstanna...  2-Bromoethylazanium Bromide  2-(2,4,4-Trimethylpentan-2-Yl)Guanidine ...