Online Database of Chemicals from Around the World

2-L-丙氨酸-3-L-丙氨酸-6-(2-甲基丙氨酸)-9-L-异亮氨酸-18-L-谷氨酰胺-丙甲甘肽I
[CAS# 107426-95-9]

供应商
CAS#: 107426-95-9
产品: 2-L-丙氨酸-3-L-丙氨酸-6-(2-甲基丙氨酸)-9-L-异亮氨酸-18-L-谷氨酰胺-丙甲甘肽I
暂时没有厂家供应该产品。
基本信息
产品名称 2-L-丙氨酸-3-L-丙氨酸-6-(2-甲基丙氨酸)-9-L-异亮氨酸-18-L-谷氨酰胺-丙甲甘肽I
英文名 2-L-Alanine-3-L-Alanine-6-(2-Methylalanine)-9-L-Isoleucine-18-L-Glutamine-Alamethicin I
别名 Trichosporin B-V
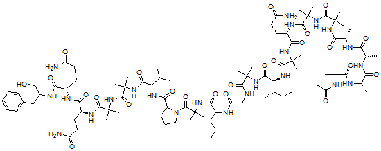
分子结构 CAS 登录号:107426-95-9, 2-L-丙氨酸-3-L-丙氨酸-6-(2-甲基丙氨酸)-9-L-异亮氨酸-18-L-谷氨酰胺-丙甲甘肽I
分子式 C91H151N23O24
分子量 1951.33
CAS 登录号 107426-95-9
分子行输入简码 SMILES [C@@H]1(N(C(=O)C(NC(=O)[C@@H](NC(=O)CNC(=O)C(NC(=O)[C@@H](NC(=O)C(NC(=O)[C@@H](NC(=O)C(NC(=O)C(NC(=O)[C@@H](NC(=O)[C@@H](NC(=O)[C@@H](NC(=O)C(NC(=O)C)(C)C)C)C)C)(C)C)(C)C)CCC(=O)N)(C)C)[C@H](CC)C)(C)C)CC(C)C)(C)C)CCC1)C(=O)N[C@H](C(=O)NC(C(=O)NC(C(=O)N[C@H](C(=O)N[C@H](C(=O)NC(CC2=CC=CC=C2)CO)CCC(=O)N)CCC(=O)N)(C)C)(C)C)C(C)C
国际化学标识码 InChI 1S/C91H151N23O24/c1-27-48(6)65(105-80(135)86(15,16)108-71(126)57(37-40-62(94)119)103-79(134)88(19,20)112-81(136)89(21,22)107-68(123)51(9)97-66(121)49(7)96-67(122)50(8)98-77(132)85(13,14)106-52(10)116)75(130)111-84(11,12)76(131)95-44-63(120)100-58(42-46(2)3)72(127)109-91(25,26)83(138)114-41-31-34-59(114)73(128)104-64(47(4)5)74(129)110-90(23,24)82(137)113-87(17,18)78(133)102-56(36-39-61(93)118)70(125)101-55(35-38-60(92)117)69(124)99-54(45-115)43-53-32-29-28-30-33-53/h28-30,32-33,46-51,54-59,64-65,115H,27,31,34-45H2,1-26H3,(H2,92,117)(H2,93,118)(H2,94,119)(H,95,131)(H,96,122)(H,97,121)(H,98,132)(H,99,124)(H,100,120)(H,101,125)(H,102,133)(H,103,134)(H,104,128)(H,105,135)(H,106,116)(H,107,123)(H,108,126)(H,109,127)(H,110,129)(H,111,130)(H,112,136)(H,113,137)/t48-,49-,50-,51-,54?,55-,56-,57-,58-,59-,64-,65-/m0/s1
国际化学标识检索码 InChIKey CZVJZNUEMWYEAB-DKOFGDBXSA-N
市场分析报告
请浏览2-L-丙氨酸-3-L-丙氨酸-6-(2-甲基丙氨酸)-9-L-异亮氨酸-18-L-谷氨酰胺-丙甲甘肽I市场分析报告总目录
相关产品
4-氨基-5-氯-N-[(1-乙基-4,5-二氢咪...  7-(4,5-二羟基-3-碘-6-甲基四氢吡喃-2...  4-(5,5,8,8-四甲基-6,7-二氢蒽-2-...  2-(1-苯并呋喃-4-基)-N-甲基-N-(7-...  2,3-(二-谷胱甘肽-S-基)-1,4-萘醌  1-(苯基甲基)氮丙啶  1-(1,3-苯并二氧戊环-5-基)丁烷-2-胺  2-(氟-甲基磷酰)氧基丙烷  N-环辛基亚基羟胺  6-[[1,5-二(苯基)-4,5-二氢吡唑-3-...  头孢氯铵  N-[(2S,5Z,10S,13E)-9,10-二...  1-哌嗪-1-基丙-2-醇  顺式-3-偶氮去甲金刚烷  [4-(氨基甲基)环己基]甲醇