Online Database of Chemicals from Around the World

Epelmycin B
[CAS# 107807-24-9]

供应商
CAS#: 107807-24-9
产品: Epelmycin B
暂时没有厂家供应该产品。
基本信息
产品名称 Epelmycin B
英文名 Epelmycin B
别名 Epelmycin B
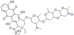
分子结构 CAS 登录号:107807-24-9, Epelmycin B
分子式 C42H51NO16
分子量 825.86
CAS 登录号 107807-24-9
分子行输入简码 SMILES C8=C7C(=O)C1=C(C(=C2C(=C1O)C(C(O)(CC2OC6OC(C(OC5OC(C4OC3OC(C(=O)CC3OC4C5)C)C)C(N(C)C)C6)C)CC)C(OC)=O)O)C(=O)C7=C(O)C=C8
国际化学标识码 InChI 1S/C42H51NO16/c1-8-42(51)15-25(29-30(33(42)40(50)52-7)37(49)31-32(36(29)48)35(47)28-19(34(31)46)10-9-11-21(28)44)57-26-12-20(43(5)6)38(17(3)53-26)58-27-14-23-39(18(4)54-27)59-41-24(56-23)13-22(45)16(2)55-41/h9-11,16-18,20,23-27,33,38-39,41,44,48-49,51H,8,12-15H2,1-7H3
国际化学标识检索码 InChIKey DKXGZTHFCJJLIP-UHFFFAOYSA-N
物理化学性质
密度 1.483g/cm3 (计算值)
沸点 860.204°C at 760 mmHg (计算值)
闪点 474.034°C (计算值)
市场分析报告
请浏览Epelmycin B市场分析报告总目录
相关产品
4-[4-二甲基氨基-6-甲基-5-[6-甲基-5...  (2S)-N-[(2S)-2-氨基-3-[3-(1...  (2S)-N-[(2S)-1-[[(2S)-1-[...  4-甲基戊基2-氰基丙-2-烯酸酯  Guayulin-C  Guayulin D  Preproatrial Natriuretic ...  4,9-二羟基-6,7-二甲氧基苯并[f][1,3...  2'-脱氧腺苷酰-(5'-3')-2'-脱氧-5'...  10-[4-二甲基氨基-5-[4-羟基-5-(5-...  10-[4-二甲基氨基-5-[5-(5-羟基-6-...  N-(3',6'-二羟基-3-氧代螺[2-苯并呋喃...  6-[4-(5-咪唑-1-基戊氧基)苯氧基]-2,...  4,9-二氢-4-((4-甲基-1-哌嗪基)乙酰基...  6-[[(2S,6S)-6-(1,3-二甲基-2,...