Online Database of Chemicals from Around the World

8-(N-Methylalanine)cyclosporin A
[CAS# 108466-41-7]

Suppliers
CAS#: 108466-41-7
Product: 8-(N-Methylalanine)cyclosporin A
No suppilers available for the product.
Identification
Name 8-(N-Methylalanine)cyclosporin A
Synonyms (3S,6S,9S,12R,15S,18S,21S,24S,27R,30S)-30-Ethyl-33-[(E,1R,2R)-1-Hydroxy-2-Methyl-Hex-4-Enyl]-6,9,18,24-Tetraisobutyl-3,21-Diisopropyl-1,4,7,10,12,15,19,25,27,28-Decamethyl-1,4,7,10,13,16,19,22,25,28,31-Undecazacyclotritriacontane-2,5,8,11,14,17,20,23,26,29,32-Undecone; (3S,6S,9S,12R,15S,18S,21S,24S,27R,30S)-30-Ethyl-33-[(E,1R,2R)-1-Hydroxy-2-Methylhex-4-Enyl]-6,9,18,24-Tetraisobutyl-3,21-Diisopropyl-1,4,7,10,12,15,19,25,27,28-Decamethyl-1,4,7,10,13,16,19,22,25,28,31-Undecazacyclotritriacontane-2,5,8,11,14,17,20,23,26,29,32-Undecone; (3S,6S,9S,12R,15S,18S,21S,24S,27R,30S)-30-Ethyl-33-[(E,1R,2R)-1-Hydroxy-2-Methyl-Hex-4-Enyl]-1,4,7,10,12,15,19,25,27,28-Decamethyl-6,9,18,24-Tetrakis(2-Methylpropyl)-3,21-Di(Propan-2-Yl)-1,4,7,10,13,16,19,22,25,28,31-Undecazacyclotritriacontane-2,5,8,11,14,17,20,23,26,29,32-Undecone
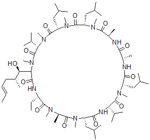
Molecular Structure CAS#: 108466-41-7, 8-(N-Methylalanine)cyclosporin A
Molecular Formula C63H113N11O12
Molecular Weight 1216.65
CAS Registry Number 108466-41-7
SMILES [C@H]1(NC(=O)[C@@H](N(C(=O)[C@H](N(C(=O)[C@@H](NC(=O)C(N(C(=O)[C@@H](N(C(=O)[C@@H](N(C(=O)[C@@H](N(C(=O)[C@H](NC(=O)[C@@H](NC(=O)[C@@H](N(C1=O)C)CC(C)C)C)C)C)CC(C)C)C)CC(C)C)C)C(C)C)C)[C@H](O)[C@@H](C\C=C\C)C)CC)C)C)C)CC(C)C)C(C)C
InChI 1S/C63H113N11O12/c1-26-28-29-40(15)52(75)51-56(79)66-44(27-2)59(82)68(19)43(18)58(81)69(20)46(31-35(5)6)55(78)67-49(38(11)12)62(85)70(21)45(30-34(3)4)54(77)64-41(16)53(76)65-42(17)57(80)71(22)47(32-36(7)8)60(83)72(23)48(33-37(9)10)61(84)73(24)50(39(13)14)63(86)74(51)25/h26,28,34-52,75H,27,29-33H2,1-25H3,(H,64,77)(H,65,76)(H,66,79)(H,67,78)/b28-26+/t40-,41+,42-,43-,44+,45+,46+,47+,48+,49+,50+,51?,52-/m1/s1
InChIKey QEHCSSQYOJCSKZ-KEPYCBRXSA-N
Properties
Density 1.011g/cm3 (Cal.)
Boiling point 1294.224°C at 760 mmHg (Cal.)
Flash point 736.52°C (Cal.)
Market Analysis Reports
List of Reports Available for 8-(N-Methylalanine)cyclosporin A
Related Products
2-[(2,4-Dinitrophenyl)Amino]Acetic Acid  S-(Phenylmethyl) (2S)-2-Amino-4-Methylpe...  [[(2R,3S,4R,5R)-5-(6-Aminopurin-9-Yl)-3,...  [(2S)-4-(2-Amino-6-Oxo-3H-Purin-9-Yl)-2-...  Ethyl N-[(1R)-2-Hydroxy-1-Phenylethyl]Ca...  4-Hydroxy-N-[2-[[2-Hydroxy-3-[4-[2-(2-Me...  N-[2-[[3-[4-[2-[2-(Cyclopropylmethoxy)Et...  3,8-Dichloro-11H-Benzo[c][1,2]Benzodiaze...  3,6-bis(ethylamino)-9-(2-(methoxycarbony...  (5E,7E,9Z,14Z,17Z)-Icosa-5,7,9,14,17-Pen...  3-Methyl-N'-(Phenylmethyl)-1,2-Oxazole-5...  4-amino-Benzoic acid ethyl ester mixt. w...  Methyl-(4-Nitrophenoxy)-Propoxy-Sulfanyl...  Ammonium O,O-diphenyl dithiophosphate  [(2R)-3-Hexadecanoyloxy-2-[11-[Methyl-(4...