Online Database of Chemicals from Around the World

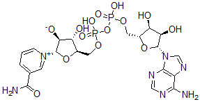
(2S,3S,4S,5R)-5-[[[[(2R,3S,4R,5R)-5-(6-氨基嘌呤-9-基)-3,4-二羟基四氢呋喃-2-基]甲氧基-羟基磷酰]氧基-羟基磷酰]氧基甲基]-2-(3-氨基甲酰吡啶-1-鎓-1-基)-4-羟基四氢呋喃-3-醇
[CAS# 108646-17-9]

供应商
CAS#: 108646-17-9
产品: (2S,3S,4S,5R)-5-[[[[(2R,3S,4R,5R)-5-(6-氨基嘌呤-9-基)-3,4-二羟基四氢呋喃-2-基]甲氧基-羟基磷酰]氧基-羟基磷酰]氧基甲基]-2-(3-氨基甲酰吡啶-1-鎓-1-基)-4-羟基四氢呋喃-3-醇
暂时没有厂家供应该产品。
基本信息
产品名称 (2S,3S,4S,5R)-5-[[[[(2R,3S,4R,5R)-5-(6-氨基嘌呤-9-基)-3,4-二羟基四氢呋喃-2-基]甲氧基-羟基磷酰]氧基-羟基磷酰]氧基甲基]-2-(3-氨基甲酰吡啶-1-鎓-1-基)-4-羟基四氢呋喃-3-醇
英文名 (2S,3S,4S,5R)-5-[[[[(2R,3S,4R,5R)-5-(6-Aminopurin-9-Yl)-3,4-Dihydroxyoxolan-2-Yl]Methoxy-Hydroxyphosphoryl]Oxy-Hydroxyphosphoryl]Oxymethyl]-2-(3-Carbamoylpyridin-1-Ium-1-Yl)-4-Hydroxyoxolan-3-Olate
别名 (2S,3S,4S,5R)-5-[[[[(2R,3S,4R,5R)-5-(6-Aminopurin-9-Yl)-3,4-Dihydroxy-Tetrahydrofuran-2-Yl]Methoxy-Hydroxy-Phosphoryl]Oxy-Hydroxy-Phosphoryl]Oxymethyl]-2-(3-Carbamoylpyridin-1-Ium-1-Yl)-4-Hydroxy-Tetrahydrofuran-3-Olate; (2S,3S,4S,5R)-5-[[[[(2R,3S,4R,5R)-5-(6-Amino-9-Purinyl)-3,4-Dihydroxy-2-Tetrahydrofuranyl]Methoxy-Hydroxyphosphoryl]Oxy-Hydroxyphosphoryl]Oxymethyl]-2-(3-Carbamoyl-1-Pyridin-1-Iumyl)-4-Hydroxy-3-Tetrahydrofuranolate; (2S,3S,4S,5R)-2-(3-Aminocarbonylpyridin-1-Ium-1-Yl)-5-[[[[(2R,3S,4R,5R)-5-(6-Aminopurin-9-Yl)-3,4-Dihydroxy-Oxolan-2-Yl]Methoxy-Hydroxy-Phosphoryl]Oxy-Hydroxy-Phosphoryl]Oxymethyl]-4-Hydroxy-Oxolan-3-Olate
分子结构 CAS 登录号:108646-17-9, (2S,3S,4S,5R)-5-[[[[(2R,3S,4R,5R)-5-(6-氨基嘌呤-9-基)-3,4-二羟基四氢呋喃-2-基]甲氧基-羟基磷酰]氧基-羟基磷酰]氧基甲基]-2-(3-氨基甲酰吡啶-1-鎓-1-基)-4-羟基四氢呋喃-3-醇
分子式 C21H27N7O14P2
分子量 663.43
CAS 登录号 108646-17-9
分子行输入简码 SMILES [C@H]1(O[C@@H]([C@@H](O)[C@H]1O)CO[P](O[P](OC[C@H]3O[C@H]([N+]2=CC(=CC=C2)C(=O)N)[C@@H]([O-])[C@@H]3O)(=O)O)(=O)O)[N]4C5=C(N=C4)C(=NC=N5)N
国际化学标识码 InChI 1S/C21H27N7O14P2/c22-17-12-19(25-7-24-17)28(8-26-12)21-16(32)14(30)11(41-21)6-39-44(36,37)42-43(34,35)38-5-10-13(29)15(31)20(40-10)27-3-1-2-9(4-27)18(23)33/h1-4,7-8,10-11,13-16,20-21,29-30,32H,5-6H2,(H2,23,33)(H,34,35)(H,36,37)(H2,22,24,25)/t10-,11-,13-,14-,15+,16-,20+,21-/m1/s1
国际化学标识检索码 InChIKey VOXRVZMOBSLKFE-DUYCQTTQSA-N
市场分析报告
请浏览(2S,3S,4S,5R)-5-[[[[(2R,3S,4R,5R)-5-(6-氨基嘌呤-9-基)-3,4-二羟基四氢呋喃-2-基]甲氧基-羟基磷酰]氧基-羟基磷酰]氧基甲基]-2-(3-氨基甲酰吡啶-1-鎓-1-基)-4-羟基四氢呋喃-3-醇市场分析报告总目录
相关产品
(8R,9S,13S,14S)-17-乙炔基-13...  (2R)-2-[(4-氟苯氧基)甲基]环氧乙烷  2'-硫代螺[2,4-二氢-1H-萘-3,5'-咪...  6-(4-O-beta-D-吡喃葡萄糖基-beta...  2,3,7,19-四羟基乌苏-12-烯-28-酸  2-[[6,8-二溴-3-(2-氯苯基)-4-氧代...  (1R,2S,6R)-2-吗啉-4-基-6-(苯氧...  (1R,2S,6R)-2-[4-(3-甲氧基苯基)...  1-(10-(3-(4-甲基-1-哌嗪基)丙基)吩...  (Z)-2-偶氮基-1-[(2R,3R,4S,5R...  麦角克索  麦角克索马来酸盐  2-[4-[4-(4-氟苯基)哌嗪-1-基]丁基]...  (2S)-2-氨基-N-[(2S,5R,7E,9E...  2-肼基-N-(6-甲氧基-1,3-苯并噻唑-2-...